Коэффициент асимметрии непрерывной случайной величины

Материал из Циклопедии
Перейти к навигации Перейти к поиску

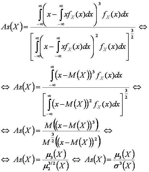
Коэффициент асимметрии, для непрерывной случайной величины — числовая характеристика случайной величины, равная отношению центрального момента третьего порядка к кубу среднеквадратического отклонения.

Обозначения[править]

X — случайная величина;

fX(x) — дифференциальная функция распределения — функция плотности вероятности;

M(X)средняя — математическое ожидание;

μk(X)центральный момент k-ого порядка;

σ(X)среднеквадратическое отклонение;

As(X) — коэффициент асимметрии.

Формулы[править]

АСИ11.JPG

См. также[править]

Другие формулы[править]


Ссылки[править]