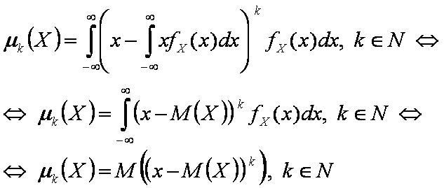
Центральный момент k-ого порядка непрерывной случайной величины

Материал из Циклопедии
Перейти к навигации Перейти к поиску

Центральный момент k-ого порядка — это числовая характеристика случайной величины, равная средней k-ой степени отклонения величины от средней.

Обозначения:[править]

X — случайная величина;

fX(x) — дифференциальная функция распределения — функция плотности вероятности;

M(X)средняя — математическое ожидание;

μk(X) — центральный момент k-ого порядка.

Формулы:[править]

ЦМО11.PNG

См. также[править]

Другие формулы:[править]


Ссылки[править]