Дециль непрерывной случайной величины

Материал из Циклопедии
Перейти к навигации Перейти к поиску
ДЕЦ11.JPG

Дециль — это числовая характеристика случайной величины, характеризующая десятые части совокупности.

Обозначения[править]

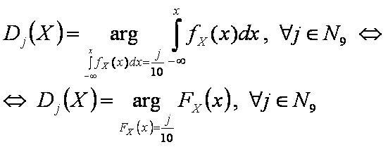
X — случайная величина;

fX(x) — дифференциальная функция распределения — функция плотности вероятности;

FX(x) — интегральная функция распределения — функция вероятности;

Dj(x) — дециль, характеризующая j десятых частей совокупности, — это граница между j-ой и j+1-ой частями.

Формулы[править]

Невозможно разобрать выражение (Ошибка преобразования. Сервер («https://wikimedia.org/api/rest_») сообщил: «Cannot get mml. Server problem.»): {\displaystyle D_{j}(X)=\arg \limits _{\int \limits _{-\infty }^{x}f_{X}(x)dx={\frac {j}{10}}}\ \int \limits _{-\infty }^{x}f_{X}(x)dx,\ \forall j\in N_{9}\Leftrightarrow }

См. также[править]

Другие формулы:[править]


Литература[править]

  • Корн Г., Корн Т. Справочник по математике для научных работников и инженеров — М.: Наука, 1970, стр.487.