Квартиль непрерывной случайной величины

Материал из Циклопедии
Перейти к навигации Перейти к поиску
КВА11.JPG

Квартиль — это числовая характеристика случайной величины, характеризующая четверти совокупности.

Обозначения[править]

X — случайная величина;

fX(x) — дифференциальная функция распределения — функция плотности вероятности;

FX(x) — интегральная функция распределения — функция вероятности;

Qj(x) — квартиль, характеризующая j четвертей совокупности, — это граница между j-ой и j+1-ой частями.

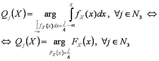
Формулы[править]

См. также[править]

Другие формулы:[править]


Литература[править]

  • Корн Г., Корн Т. Справочник по математике для научных работников и инженеров — М.: Наука, 1970, стр.487.