Экспоненциальное распределение
Перейти к навигации
Перейти к поиску
Экспоненциальное распределение (показательное распределение) — распределение непрерывной случайной величины, равной интервалу времени между двумя любыми соседними событиями в простейшем потоке с интенсивностью λ.
В функциях экспоненциального распределения есть экспонента e-λx.
Обозначения[править]
- X — случайная величина;
- λ — интенсивность простейшего потока λ>0;
- fX(x) — дифференциальная функция распределения — функция плотности вероятности;
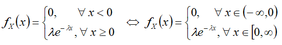
- FX(x) — интегральная функция распределения — функция вероятности P(X<x);
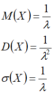
- M(X) — средняя — математическое ожидание;
- D(X) — дисперсия;
- σ(X) — среднеквадратическое отклонение;
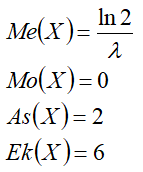
- Me(X) — медиана;
- Mo(X) — мода;
- As(X) — коэффициент асимметрии;
- Ek(X) — коэффициент эксцесса.
Функции распределения[править]
Дифференциальная функция[править]
Формулы[править]
Графики[править]
Интегральная функция[править]
Формулы[править]
Графики[править]
Характеристики[править]
Вывод формул[править]
Математическое ожидание[править]
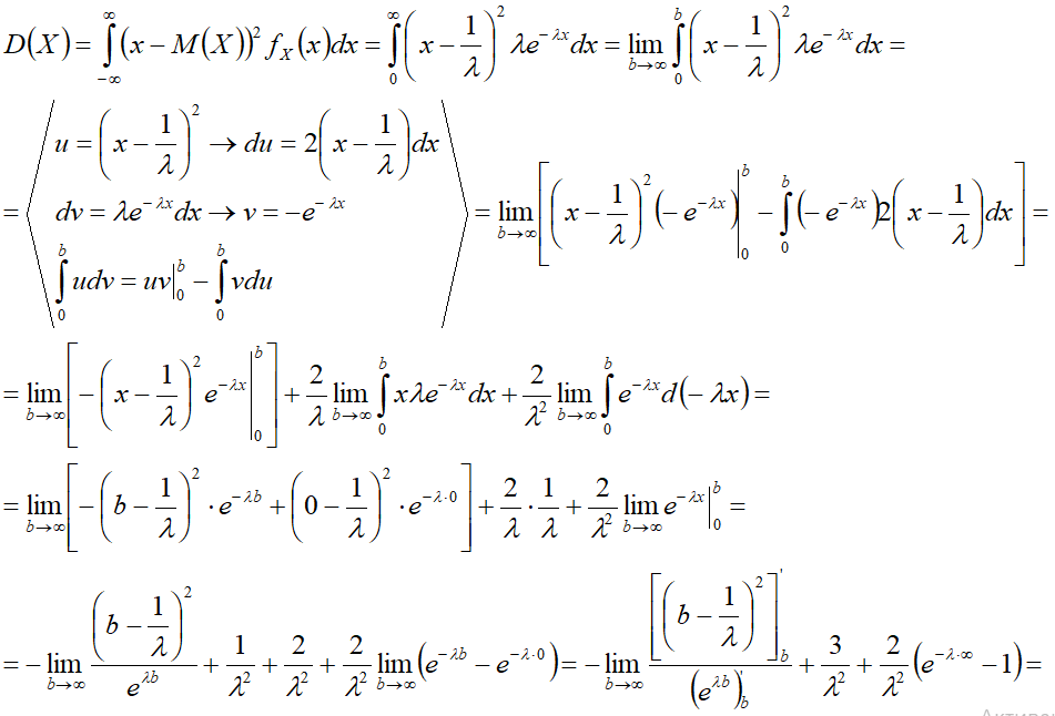
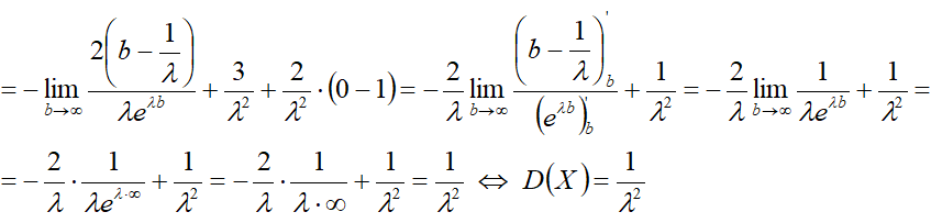
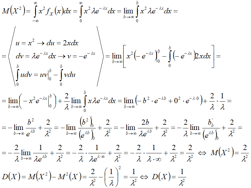
Дисперсия[править]
1-й способ[править]
2-й способ[править]
Другие распределения[править]
- Распределения дискретной случайной величины:
- Распределения непрерывной случайной величины:
- Бета-распределение;
- распределение Вейбулла;
- Гамма-распределение;
- распределение Гаусса;
- квадратичное распределение;
- распределение Коши;
- распределение Лапласа;
- линейное распределение;
- логистическое распределение;
- логнормальное распределение;
- нормальное распределение;
- распределение Парето;
- показательное распределение;
- непрерывное равномерное распределение;
- распределение Рэлея;
- распределение Сосновского;
- распределение Стьюдента;
- Ти-распределение;
- распределение Фишера-Снедекора;
- распределение Хи-квадрат;
- экспоненциальное распределение;
- Эл-распределение;
- Эф-распределение.
Литература[править]
- Овчаров Л. А. Прикладные задачи теории массового обслуживания, «Машиностроение», М.,1969, стр.18.
Ссылки[править]
| Вероятностные распределения | ||
|---|---|---|
| Одномерные | Многомерные | |
| Дискретные: | Бернулли | Биномиальное | Геометрическое | Гипергеометрическое | Логарифмическое | Отрицательное биномиальное | Пуассона | Дискретное равномерное | Мультиномиальное |
| Абсолютно непрерывные: | Бета | Вейбулла | Гамма- | Гиперэкспоненциальное | Гомпертца | Колмогорова | Коши | Лапласа | Логнормальное | Нормальное (Гаусса) | Логистическое | Накагами | Парето | Пирсона | Полукруговое | Непрерывное равномерное | Райса | Рэлея | Стьюдента | Трейси — Видома | Фишера | Хи-квадрат | Экспоненциальное | Variance-gamma | Многомерное нормальное | Копула |









