Распределение Бенфорда
Перейти к навигации
Перейти к поиску
Распределение Бенфорда — распределение первой цифры — дискретной случайной величины.
Закон Бенфорда, или закон первой цифры — закон, описывающий вероятность появления определённой первой значащей цифры в распределениях величин, взятых из реальной жизни. Закон верен для многих таких распределений, но не для всех.
Обозначения[править]
- X — случайная величина, равная первой значащей (ненулевой) цифре случайно выбранного числа из одной таблицы (например, логарифмов, степеней, нормального распределения, длин рек, площади озёр, численности населения и т.п.);
- n — параметр распределения — число значений;
- pi — вероятность появления первой цифры i;
- N9 — множество цифр от 1 до 9;
- pX(x) — функция вероятности P(X=x);
- FX(x) — интегральная функция распределения — функция вероятности P(X<x);
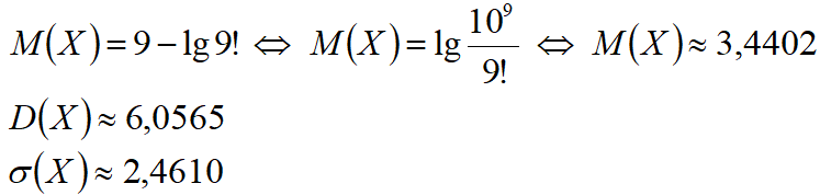
- M(X) — средняя — математическое ожидание;
- D(X) — дисперсия;
- σ(X) — среднеквадратическое отклонение.
Функции распределения:[править]
Функция вероятности[править]
Формулы[править]
График[править]
Интегральная функция[править]
Формулы[править]
График[править]
Характеристики[править]
Другие распределения:[править]
- Распределения дискретной случайной величины:
- Распределения непрерывной случайной величины:
- Бета-распределение;
- распределение Вейбулла;
- Гамма-распределение;
- распределение Гаусса;
- квадратичное распределение;
- распределение Коши;
- распределение Лапласа;
- линейное распределение;
- логистическое распределение;
- логнормальное распределение;
- нормальное распределение;
- распределение Парето;
- показательное распределение;
- непрерывное равномерное распределение;
- распределение Рэлея;
- распределение Сосновского;
- распределение Стьюдента;
- Ти-распределение;
- распределение Фишера-Снедекора;
- распределение Хи-квадрат;
- экспоненциальное распределение;
- Эл-распределение;
- Эф-распределение.
Литература[править]
- Королёв В. Ю. Теория вероятностей и математическая статистика: учеб., 2006. М.: ТК Велби, Изд-во Проспект, 2006, стр.93-94, 160 с.


