Интегральные формулы
Перейти к навигации
Перейти к поиску
Интегральные формулы — это формулы интегралов из интегральных равенств.
Обозначения:[править]
m, n — натуральные числа;
p, q — рациональные числа;
a — действительное число;
x — переменная.
Подынтегральные функции:[править]
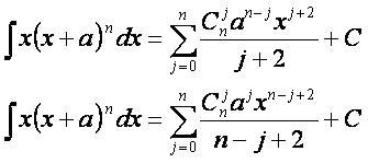
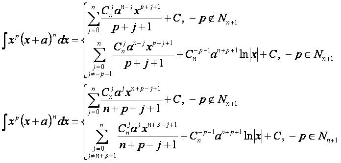
xp(x+a)n[править]
p=1[править]
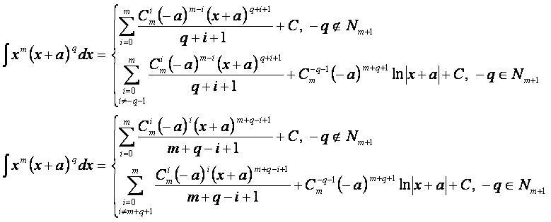
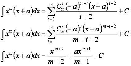
xm(x+a)q[править]
q=1[править]
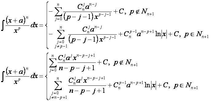
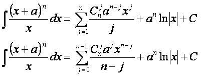
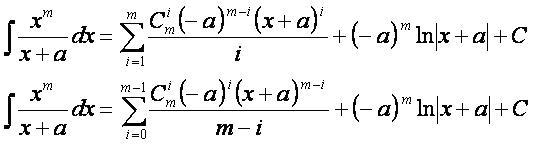
(x+a)n/xp[править]
p=1[править]
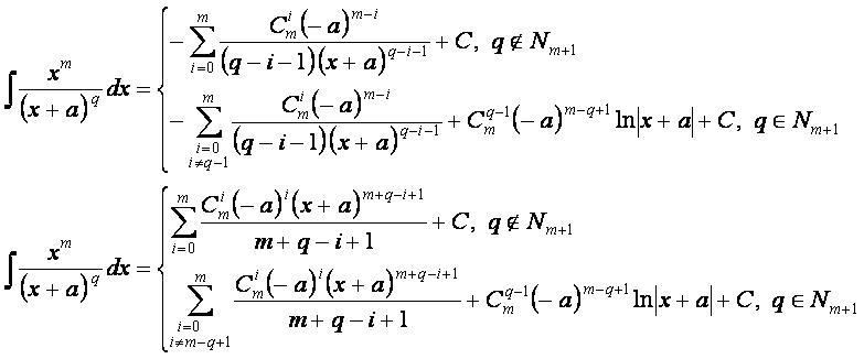
xm/(x+a)q[править]
q=1[править]
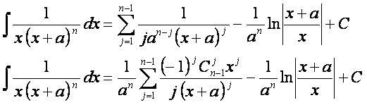
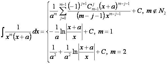
1/[xm(x+a)n][править]
m=1[править]
n=1[править]
Другие интегралы:[править]
- интеграл;
- интегралы элементарных функций;
- интегралы дробно-рациональных функций;
- интегралы функций с корнями;
- интегралы тригонометрических функций;
- интегралы обратных тригонометрических функций;
- интегралы гиперболических функций;
- интегралы обратных гиперболических функций;
- интеграл Фурье;
- интеграл Фурье комплексный;
- эллиптические интегралы;
- интегралы, определяемые методом замены переменных;
- интегралы, определяемые по интегральным равенствам;
- интегралы, определяемые по интегральным формулам;
- интеграл Эйлера-Пуассона.
Литература[править]
- Прудников А.П., Брычков Ю.А., Маричев О.И. Интегралы и ряды. М.: Наука, 1981. стр.27-31.