Метод математической индукции для неравенства произведения n-факториала и двойного факториала нечётного числа
Перейти к навигации
Перейти к поиску
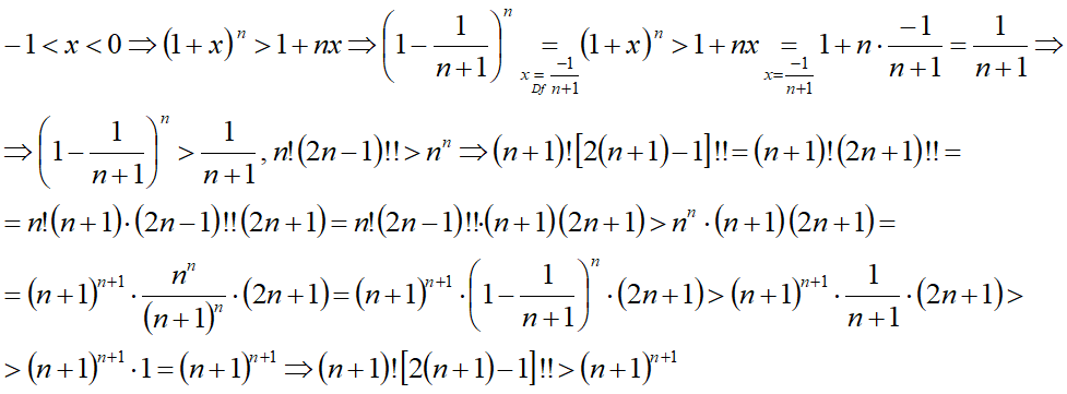
Доказательство методом математической индукции неравенства произведения n-факториала и двойного факториала нечётного числа использует индукцию вверх от n к n+1.
Обозначения[править]
- n – число натуральных чисел, n>1;
- n! – n-факториал числа – произведение n первых натуральных чисел;
- (2n-1)!! – двойной факториал нечётного числа – произведение n первых нечётных чисел.
Формула неравенства[править]
Доказательство[править]
1.Докажем неравенство при k=2.
то есть неравенство верно при k=2.
2.Доказательство индукцией вверх. Предполагаем, что неравенство верно для k=n и доказываем неравенство для k=n+1.
то есть неравенство верно при k=n+1, ч.т.д.
Другие доказательства:[править]
- неравенство n-степени числа;
- неравенство n-факториала и n-степени двух;
- неравенство r-степени числа;
- неравенство Маркова для дискретной случайной величины;
- неравенство Маркова для непрерывной случайной величины;
- неравенство степеней n и n+1 для чисел;
- неравенство степеней n и n+1 для единиц с обратными числами;
- неравенство трёх квадратов;
- неравенство трёх кубов;
- неравенство трёх попарных отношений;
- неравенство Чебышёва для дискретной случайной величины;
- неравенство Чебышёва для непрерывной случайной величины;
- неравенство n-степени числа для неравенства Бернулли;
- неравенство r-степени числа для обобщённого неравенства Бернулли;
- неравенство Бернулли для неравенства n-степени числа;
- неравенство Коши для неравенства n-факториала и среднего арифметического;
- неравенство Коши для неравенства n-факториала и среднего квадратического;
- неравенство Коши для неравенства n-факториала и среднего кубического;
- неравенство Коши для неравенства факториала нечётного числа;
- обобщённое неравенство Бернулли для неравенства r-степени числа;
- ММИ для неравенства n-факториала и n-степени двух;
- ММИ для неравенства Бернулли;
- ММИ для неравенства произведения n-факториала и двойного факториала нечётного числа;
- ММИ для неравенства произведения n факториалов чётных чисел;
- ММИ для неравенства суммы обратных корней n натуральных чисел со знаком больше;
- ММИ для неравенства суммы обратных корней n натуральных чисел со знаком меньше;
- ММИ для неравенства суммы обратных n натуральных чисел, начиная с числа n+1;
- ММИ для неравенства факториала чётного числа.
Литература[править]
- Арбит А. В. Неравенства и основные способы их доказательства. Ч.1. М.: МЦНМО, 2016, стр.93, 168 с.

