Метод простых итераций

Материал из Циклопедии
Перейти к навигации Перейти к поиску

Метод простых итераций — это численный метод решения системы линейных уравнений вида Ax=b с заданной точностью ε.

Описание метода[править]

Суть метода простых итераций состоит в расчётах новой точки x по старой точке.

Итерации продолжаются до достижения необходимой точности решения ε.

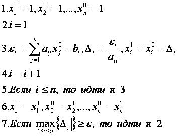
Алгоритм решения[править]

Входные данные: A, b, ε.

МПИ01.PNG

Выходные данные: x.

Для решения методом простых итераций системы линейных уравнений вида Ax=b (где A — квадратная матрица nxn коэффициентов системы, а b — вектор свободных членов системы), сначала найдём главный определитель системы Δ.

Метод простых итераций применим (то есть метод сходится), если главный определитель системы Δ≠0 и выполняются условия одного из двух случаев:

1) когда хотя бы одна из норм матрицы B=E-A меньше 1:

МПИ02.JPG

2) когда все собственные значения матрицы B=E-A по модулю меньше 1.

Для проверки условий 2-го случая необходимо определить величину λ=max{|λ1|,|λ2|,…,|λn|}, где λ12,…,λn — собственные значения матрицы B, и проверить условие λ<1.

Как правило, матрица B=E-A удовлетворяет указанным условиям, когда на главной диагонали матрицы A находятся доминирующие элементы aii;

Доминирующим элементом aii называется элемент удовлетворяющий неравенству:

МПИ03.JPG

Другие методы:[править]

  • Для решения систем нелинейных уравнений используется метод Ньютона.


Литература[править]

  • Демидович Б. П., Марон И. А. Основы вычислительной математики. М.: Наука, 1970.

Ссылки[править]