Метод Крамера

Материал из Циклопедии
Перейти к навигации Перейти к поиску
Видеоурок "Метод определителей (Крамера)" // Математика от alwebra.com.ua [4:20]

Метод Крамера — это способ решения системы линейных уравнений, при котором неизвестные вычисляются в виде отношений определителей.

Описание метода[править]

Суть метода Крамера состоит в расчёте определителей и применении формул Крамера, по которым решение xi равно отношению i-го вспомогательного определителя Δi к главному Δ.

Для решения методом Крамера системы линейных уравнений вида Ax=b (где A – квадратная матрица nxn коэффициентов системы, а b – вектор свободных членов системы), сначала найдём главный определитель системы Δ. Метод Крамера применим, если главный определитель системы Δ≠0.

Формулы:[править]

МКР01.JPG

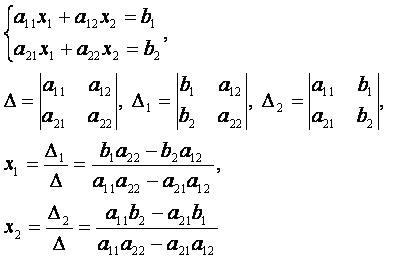
Решение системы двух уравнений с двумя неизвестными[править]

МКР02.JPG

Решение системы трёх уравнений с тремя неизвестными[править]

МКР03.JPG

Решение системы четырёх уравнений с четырьмя неизвестными[править]

МКР04.PNG

Другие методы:[править]

  • Для решения систем нелинейных уравнений используется метод Ньютона.


Другие системы:[править]


Литература[править]

  • Демидович Б.П., Марон И.А. Основы вычислительной математики. М.: Наука, 1970

Ссылки[править]