Многочлен

Материал из Циклопедии
Перейти к навигации Перейти к поиску

Многочленфункция, равная сумме степенных функций с натуральными показателями степени и произвольными коэффициентами.

Обозначения[править]

Pm(x) — многочлен степени m;

Pn-1(x) — многочлен степени n-1;

Qn(x) — многочлен степени n;

Rm-n(x) — многочлен степени m-n при m≥n;

x-x0, x+x0, Q1(x)=b1x+b0 — двучлены;

aj, bj, cj, x0 — коэффициенты.

Определения[править]

Многочлен называется двучленом, если степень равна 1 и коэффициенты не равны 0, т.е. m=1.

Многочлен называется трёхчленом, если степень равна 2 и коэффициенты не равны 0, т.е. m=2.

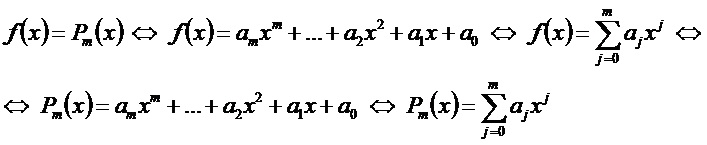
Вид функции[править]

МФ01.JPG

Деление многочленов[править]

Деление многочлена Pm(x) на двучлен x-x0[править]

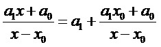
m=1[править]

ДФ21.JPG

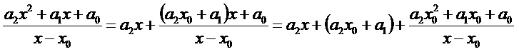
m=2[править]

ДФ22.JPG

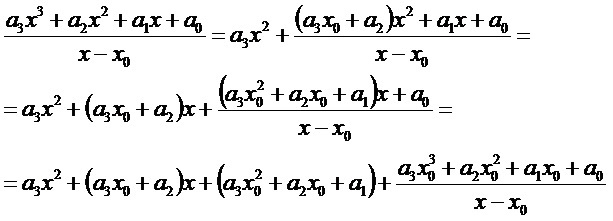
m=3[править]

ДФ23.JPG

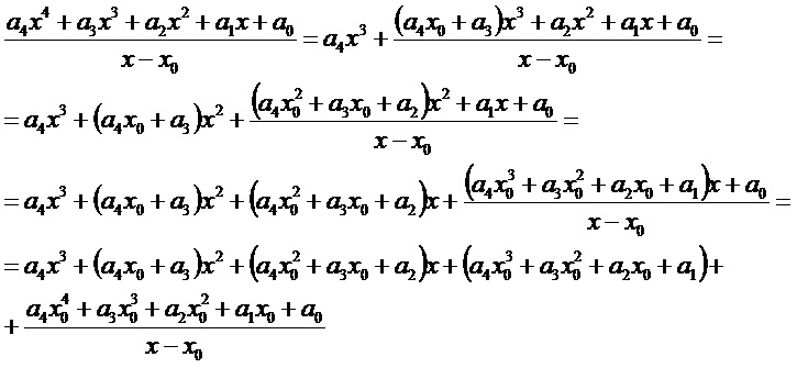
m=4[править]

ДФ24.JPG

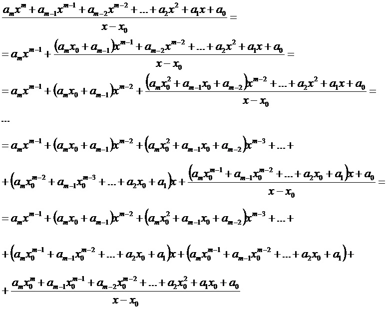
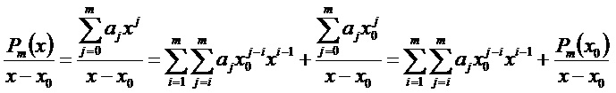
m>4[править]

ДФ25.JPG

Запишем формулу деления в кратком виде:

ДФ26.JPG

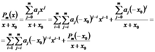
Деление многочлена Pm(x) на двучлен x+x0[править]

ДФ27.JPG

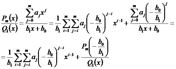
Деление многочлена Pm(x) на двучлен Q1(x)=b1x+b0[править]

ДФ28.JPG

Деление многочлена Pm(x) на трёхчлен x2-px-q[править]

m=2[править]

ДФ32.JPG

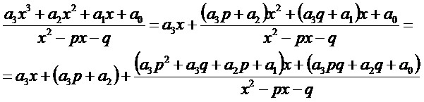
m=3[править]

ДФ33.JPG

m=4[править]

ДФ34.JPG

Другие функции[править]


Ссылки[править]