Одноканальная СМО замкнутая без очереди
Одноканальная СМО замкнутая без очереди — это система массового обслуживания, в которой есть один канал обслуживания и один источник заявок. Если заявка приходит, то она немедленно обслуживается каналом.
Обозначения[править]
n – число каналов обслуживания, n=1;
m – число мест в очереди, m=0;
λ – интенсивность простейшего потока заявок;
μ – интенсивность простейшего потока обслуживания.
Описание модели[править]
На вход одноканальной СМО поступает простейший поток заявок с интенсивностью λ.
Интенсивность простейшего потока обслуживания канала μ.
Если заявка приходит, то она принимается на обслуживание и обслуживается каналом,
После окончания обслуживания заявки канал освобождается.
Состояние рассмотренной системы будем связывать с числом заявок, находящихся в системе.
Граф состояний[править]
М/М/1/0/1 – Одноканальная СМО замкнутая без очереди.
Рассмотрим множество состояний системы:
S0 – в системе нет заявки, канал свободен, 1-источник заявок;
S1 – в системе имеется 1-заявка, она обслуживается 1-каналом, источников заявок нет.
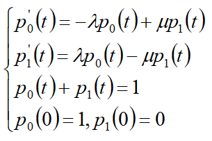
Система дифференциальных уравнений[править]
Система дифференциальных уравнений, описывающих поведение системы, имеет вид:
Рассмотрим стационарный режим работы системы (при t→∞).
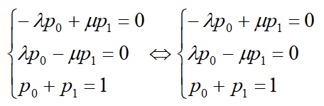
Система линейных уравнений[править]
Система уравнений принимает вид:
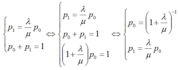
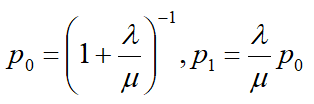
Решение системы линейных уравнений[править]
Решим систему относительно p0,p1.
В результате получаем решение системы:
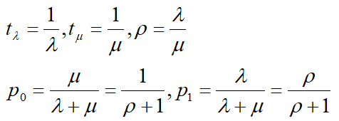
Основные характеристики системы[править]
Другие одноканальные СМО:[править]
- Одноканальная СМО без очереди;
- Одноканальная СМО без очереди и с ограниченным временем обслуживания;
- Одноканальная СМО без очереди и со случайным результатом обслуживания;
- Одноканальная СМО с m-очередью;
- Одноканальная СМО с m-очередью и с ограниченным временем обслуживания;
- Одноканальная СМО с m-очередью и со случайным результатом обслуживания;
- Одноканальная СМО с m-очередью и с ограниченным временем ожидания;
- Одноканальная СМО с m-очередью и с ограниченным временем обслуживания и ожидания;
- Одноканальная СМО с бесконечной очередью;
- Одноканальная СМО с бесконечной очередью и с убывающим потоком заявок;
- Одноканальная СМО замкнутая без очереди;
- Одноканальная СМО замкнутая с m-очередью;
- Одноканальная СМО замкнутая без очереди и с k-источниками;
- Одноканальная СМО замкнутая с m-очередью и с k-источниками.
Ссылки[править]
- Овчаров Л.А. Прикладные задачи теории массового обслуживания, «Машиностроение», М.,1969.





