Одноканальная СМО замкнутая с m-очередью и с k-источниками
Одноканальная СМО замкнутая с m-очередью и с k-источниками — это система массового обслуживания, в которой есть 1-канал, m-мест в очереди, k-источников заявок (k>m+1). Поток заявок каждого источника имеет одинаковую интенсивность. Первоначальный поток заявок имеет интенсивность большую в k-раз, чем поток заявок от одного источника. Каждое поступление заявки, снижает интенсивность входного потока на интенсивность потока от одного источника. Если заявка приходит, в момент, когда канал свободен, то она немедленно поступает на обслуживание каналом. Если заявка приходит, в момент, когда канал занят, то она встаёт в очередь. Максимальное число заявок в системе равно числу мест в очереди плюс 1.
Обозначения[править]
n – число каналов обслуживания, n=1;
m – число мест в очереди;
λ – интенсивность простейшего потока заявок;
μ – интенсивность простейшего потока обслуживания.
Описание модели[править]
На вход 1-канальной СМО поступает поток заявок от k-источников, причём каждый источник заявок даёт простейший поток заявок с интенсивностью λ.
Интенсивность простейшего потока обслуживания каждого канала μ.
Если заявка застаёт канал свободным, то она принимается на обслуживание и обслуживается.
После окончания обслуживания канал освобождается.
Если вновь прибывшая заявка застаёт в системе канал занятым, то она принимается в очередь и ждёт обслуживания.
Если вновь прибывшая заявка застаёт в системе канал занятым, и все места в очереди занятыми, то она игнорируется данной системой. Заявки дополнительных источников не обслуживаются в данной системе, и «восстанавливаются» другими системами.
Каждое поступление заявки, снижает интенсивность входного потока на поток от одного источника.
Состояние рассмотренной системы будем связывать с числом заявок, находящихся в системе.
Граф состояний[править]
М/М/1/m/k – Одноканальная СМО замкнутая с m-очередью и с k-источниками.
Рассмотрим множество состояний системы:
S0 – в системе нет ни одной заявки, канал свободен, k-источников заявок;
S1 – в системе имеется 1-заявка, она обслуживается 1-каналом, очереди нет, (k-1)-источников заявок;
S2 – в системе имеется 2-заявки, 1-заявка обслуживается 1-каналом, 1-заявка в очереди, (k-2)-источников заявок;
…;
Sm-1 – в системе имеется (m-1)-заявок, 1-заявка обслуживается 1-каналом, (m-2)-заявок в очереди, (k-m+1)-источников заявок;
Sm – в системе имеется m-заявок, 1-заявка обслуживается 1-каналом, (m-1)-заявок в очереди, (k-m)-источников заявок;
Sm+1 – в системе имеется (m+1)-заявок, 1-заявка обслуживается 1-каналом, m-заявок в очереди, (k-m-1)-источников дополнительных, заявки которых не обслуживаются.
Система дифференциальных уравнений[править]
Система дифференциальных уравнений, описывающих поведение системы, имеет вид:
Рассмотрим стационарный режим работы системы (при t→∞).
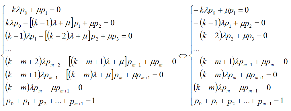
Система линейных уравнений[править]
Система уравнений принимает вид:
Суммируя в системе уравнения с первого до i-го (i=1,m+1), получаем упрощённый вид системы.
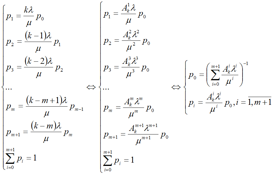
Решение системы линейных уравнений[править]
Решим систему относительно p0,p1,p2,…,pm+1.
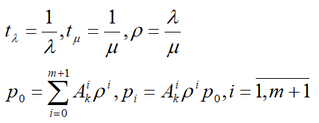
В результате получаем решение системы:
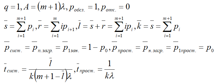
Основные характеристики системы[править]
Другие одноканальные СМО:[править]
- Одноканальная СМО без очереди;
- Одноканальная СМО без очереди и с ограниченным временем обслуживания;
- Одноканальная СМО без очереди и со случайным результатом обслуживания;
- Одноканальная СМО с m-очередью;
- Одноканальная СМО с m-очередью и с ограниченным временем обслуживания;
- Одноканальная СМО с m-очередью и со случайным результатом обслуживания;
- Одноканальная СМО с m-очередью и с ограниченным временем ожидания;
- Одноканальная СМО с m-очередью и с ограниченным временем обслуживания и ожидания;
- Одноканальная СМО с бесконечной очередью;
- Одноканальная СМО с бесконечной очередью и с убывающим потоком заявок;
- Одноканальная СМО замкнутая без очереди;
- Одноканальная СМО замкнутая с m-очередью;
- Одноканальная СМО замкнутая без очереди и с k-источниками;
- Одноканальная СМО замкнутая с m-очередью и с k-источниками.





