Одноканальная СМО с бесконечной очередью
Одноканальная СМО с бесконечной очередью — это система массового обслуживания, в которой всегда есть места в очереди и если заявка приходит, в момент, когда канал занят, то она не получает немедленно отказа, а может стать в очередь и ожидать освобождения канала, который её может обслужить.
Обозначения[править]
n – число каналов обслуживания, n=1;
m – число мест в очереди;
λ – интенсивность простейшего потока заявок;
μ – интенсивность простейшего потока обслуживания.
Описание модели[править]
На вход одноканальной СМО с бесконечной очередью поступает простейший поток заявок с интенсивностью λ.
Интенсивность простейшего потока обслуживания канала μ.
Если заявка застаёт канал свободным, то она принимается на обслуживание и обслуживается каналом. После окончания обслуживания канал освобождается.
Если заявка застаёт канал занятым, то она становится в очередь и «терпеливо» ждёт своего обслуживания.
Дисциплина очереди естественная: кто раньше пришёл, тот раньше и обслуживается.
Число мест в очереди не ограничено.
Состояние рассмотренной системы будем связывать с числом заявок, находящихся в системе.
Граф состояний[править]
М/М/1/∞ – Одноканальная СМО с бесконечной очередью.
Рассмотрим множество состояний системы:
S0 – в системе нет ни одной заявки, канал свободен;
S1 – в системе имеется 1-заявка, она обслуживается 1-каналом;
S2 – в системе имеется 2-заявки, 1-заявка обслуживается 1-каналом, 1-заявка ожидает в очереди;
…;
Si-1 – в системе имеется (i-1)-заявок, 1-заявка обслуживается 1-каналом, а (i-2)-заявок ожидают в очереди;
Si – в системе имеется i-заявок, 1-заявка обслуживается 1-каналом, а (i-1)-заявок ожидают в очереди;
Si+1 – в системе имеется (i+1)-заявок, 1-заявка обслуживается 1-каналом, а i-заявок ожидают в очереди;
….
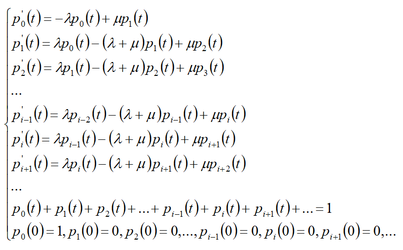
Система дифференциальных уравнений[править]
Система дифференциальных уравнений, описывающих поведение системы, имеет вид:
Рассмотрим стационарный режим работы системы (при t→∞).
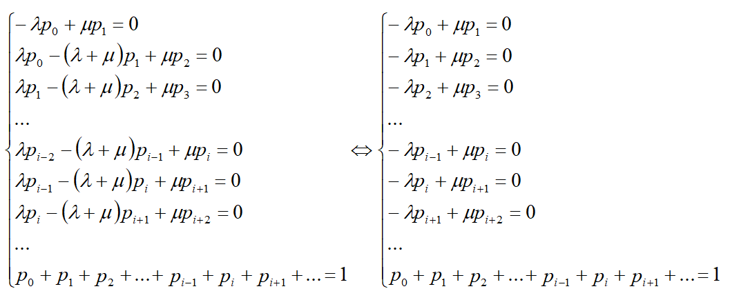
Система линейных уравнений[править]
Система уравнений принимает вид:
Суммируя в системе уравнения с первого до i-го (i=1,∞), получаем упрощённый вид системы.
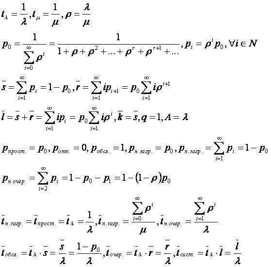
Решение системы линейных уравнений[править]
Решим систему относительно p0,p1,p2,…,pi-1,pi,pi+1,….
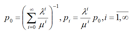
В результате получаем решение системы:
Основные характеристики системы[править]
При ρ<1 получаем
Другие одноканальные СМО:[править]
- Одноканальная СМО без очереди;
- Одноканальная СМО без очереди и с ограниченным временем обслуживания;
- Одноканальная СМО без очереди и со случайным результатом обслуживания;
- Одноканальная СМО с m-очередью;
- Одноканальная СМО с m-очередью и с ограниченным временем обслуживания;
- Одноканальная СМО с m-очередью и со случайным результатом обслуживания;
- Одноканальная СМО с m-очередью и с ограниченным временем ожидания;
- Одноканальная СМО с m-очередью и с ограниченным временем обслуживания и ожидания;
- Одноканальная СМО с бесконечной очередью;
- Одноканальная СМО с бесконечной очередью и с убывающим потоком заявок;
- Одноканальная СМО замкнутая без очереди;
- Одноканальная СМО замкнутая с m-очередью;
- Одноканальная СМО замкнутая без очереди и с k-источниками;
- Одноканальная СМО замкнутая с m-очередью и с k-источниками.
Ссылки[править]
- Овчаров Л.А. Прикладные задачи теории массового обслуживания, «Машиностроение», М.,1969.
- Л.Клейнрок. Теория массового обслуживания, «Машиностроение», М.,1979,стр.112-116.



