Одноканальная СМО замкнутая без очереди и с k-источниками
Одноканальная СМО замкнутая без очереди и с k-источниками — это система массового обслуживания, в которой есть 1-канал, k-источников заявок (k>1). Поток заявок каждого источника имеет одинаковую интенсивность. Первоначальный поток заявок имеет интенсивность большую в k-раз, чем поток заявок от одного источника. Каждое поступление заявки, снижает интенсивность входного потока на интенсивность потока от одного источника. Если заявка приходит, в момент, когда канал свободен, то она немедленно поступает на обслуживание каналом. Максимальное число заявок в системе равно 1.
Обозначения[править]
n – число каналов обслуживания, n=1;
m – число мест в очереди, m=0;
λ – интенсивность простейшего потока заявок;
μ – интенсивность простейшего потока обслуживания.
Описание модели[править]
На вход одноканальной СМО поступает поток заявок от k-источников, причём каждый источник заявок даёт простейший поток заявок с интенсивностью λ.
Интенсивность простейшего потока обслуживания каждого канала μ.
Заявка принимается на обслуживание и обслуживается каналом.
После окончания обслуживания канал освобождается.
Заявки дополнительных источников не обслуживаются в данной системе, и «восстанавливаются» другими системами.
Каждое поступление заявки, снижает интенсивность входного потока на поток от одного источника.
Состояние рассмотренной системы будем связывать с числом заявок, находящихся в системе.
Граф состояний[править]
М/М/1/0/k – Одноканальная СМО замкнутая без очереди и с k-источниками.
Рассмотрим множество состояний системы:
S0 – в системе нет ни одной заявки, канал свободен, k-источников заявок;
S1 – в системе имеется 1-заявка, она обслуживается 1-каналом , (k-1)-источников дополнительных, заявки которых не обслуживаются.
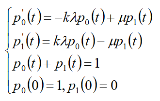
Система дифференциальных уравнений[править]
Система дифференциальных уравнений, описывающих поведение системы, имеет вид:
Рассмотрим стационарный режим работы системы (при t→∞).
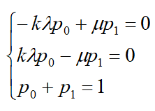
Система линейных уравнений[править]
Система уравнений принимает вид:
Решение системы линейных уравнений[править]
Решим систему относительно p0,p1.
В результате получаем решение системы:
Основные характеристики системы[править]
Другие одноканальные СМО:[править]
- Одноканальная СМО без очереди;
- Одноканальная СМО без очереди и с ограниченным временем обслуживания;
- Одноканальная СМО без очереди и со случайным результатом обслуживания;
- Одноканальная СМО с m-очередью;
- Одноканальная СМО с m-очередью и с ограниченным временем обслуживания;
- Одноканальная СМО с m-очередью и со случайным результатом обслуживания;
- Одноканальная СМО с m-очередью и с ограниченным временем ожидания;
- Одноканальная СМО с m-очередью и с ограниченным временем обслуживания и ожидания;
- Одноканальная СМО с бесконечной очередью;
- Одноканальная СМО с бесконечной очередью и с убывающим потоком заявок;
- Одноканальная СМО замкнутая без очереди;
- Одноканальная СМО замкнутая с m-очередью;
- Одноканальная СМО замкнутая без очереди и с k-источниками;
- Одноканальная СМО замкнутая с m-очередью и с k-источниками.





