VIDEO
Видеоурок «Расстояние между прямыми в пространстве» // Математика от alwebra.com.ua [6:52]
VIDEO
С2 ЕГЭ. Расстояние между скрешивающиеся прямыми // Alex Nij [9:42]
Расстояние между прямыми — это длина перпендикуляра к этим прямым, соединяющего две точки этих прямых (одна точка на одной прямой, другая на другой).
r
¯
1
=
(
x
1
,
y
1
,
z
1
)
{\displaystyle {\bar {r}}_{1}=(x_{1},y_{1},z_{1})}
— радиус-вектор точки на первой прямой;
r
¯
2
=
(
x
2
,
y
2
,
z
2
)
{\displaystyle {\bar {r}}_{2}=(x_{2},y_{2},z_{2})}
— радиус-вектор точки на второй прямой;
s
¯
1
=
(
l
1
,
m
1
,
n
1
)
{\displaystyle {\bar {s}}_{1}=(l_{1},m_{1},n_{1})}
— направляющий вектор первой прямой;
s
¯
2
=
(
l
2
,
m
2
,
n
2
)
{\displaystyle {\bar {s}}_{2}=(l_{2},m_{2},n_{2})}
— направляющий вектор второй прямой;
x
−
x
1
l
1
=
y
−
y
1
m
1
=
z
−
z
1
n
1
{\displaystyle {\frac {x-x_{1}}{l_{1}}}={\frac {y-y_{1}}{m_{1}}}={\frac {z-z_{1}}{n_{1}}}}
— уравнение первой прямой;
x
−
x
2
l
2
=
y
−
y
2
m
2
=
z
−
z
2
n
2
{\displaystyle {\frac {x-x_{2}}{l_{2}}}={\frac {y-y_{2}}{m_{2}}}={\frac {z-z_{2}}{n_{2}}}}
— уравнение второй прямой;
d
12
{\displaystyle d_{12}}
— расстояние между первой и второй прямыми.
Формулы для скрещивающихся прямых [ править ]
Формула для скрещивающихся прямых в координатной форме
Векторная форма [ править ]
Для скрещивающихся прямых формула имеет вид:
d
12
=
|
(
r
¯
2
−
r
¯
1
)
s
¯
1
s
¯
2
|
|
[
s
¯
1
×
s
¯
2
]
|
⇔
d
12
=
|
(
(
r
¯
2
−
r
¯
1
)
⋅
[
s
¯
1
×
s
¯
2
]
)
|
|
[
s
¯
1
×
s
¯
2
]
|
⇔
d
12
=
|
(
[
(
r
¯
2
−
r
¯
1
)
×
s
¯
1
]
⋅
s
¯
2
)
|
|
[
s
¯
1
×
s
¯
2
]
|
⇔
d
12
=
V
(
r
¯
2
−
r
¯
1
)
s
¯
1
s
¯
2
S
s
¯
1
s
¯
2
{\displaystyle d_{12}={\frac {\left|\left({\overline {r}}_{2}-{\overline {r}}_{1}\right){\overline {s}}_{1}{\overline {s}}_{2}\right|}{\left|\left[{\overline {s}}_{1}\times {\overline {s}}_{2}\right]\right|}}\Leftrightarrow d_{12}={\frac {\left|\left(\left({\overline {r}}_{2}-{\overline {r}}_{1}\right)\cdot \left[{\overline {s}}_{1}\times {\overline {s}}_{2}\right]\right)\right|}{\left|\left[{\overline {s}}_{1}\times {\overline {s}}_{2}\right]\right|}}\Leftrightarrow d_{12}={\frac {\left|\left(\left[\left({\overline {r}}_{2}-{\overline {r}}_{1}\right)\times {\overline {s}}_{1}\right]\cdot {\overline {s}}_{2}\right)\right|}{\left|\left[{\overline {s}}_{1}\times {\overline {s}}_{2}\right]\right|}}\Leftrightarrow d_{12}={\frac {V_{\left({\overline {r}}_{2}-{\overline {r}}_{1}\right){\overline {s}}_{1}{\overline {s}}_{2}}}{S_{{\overline {s}}_{1}{\overline {s}}_{2}}}}}
Расстояние между скрещивающимися прямыми равно отношению модуля смешанного произведения векторов (r2 − r1 ) , s1 и s2 к модулю векторного произведения векторов s1 и s2 .
Геометрический смысл формулы: расстояние — это длина высоты параллелепипеда (построенного на векторах (r2 − r1 ) , s1 и s2 ), опущенной на основание в виде параллелограмма (построенного на векторах s1 и s2 ), равная отношению объёма параллелепипеда к площади параллелограмма.
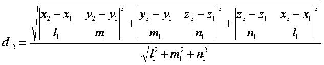
Координатная форма [ править ]
Формула расстояния между скрещивающимися прямыми в координатной форме имеет вид:
d
12
=
|
x
2
−
x
1
y
2
−
y
1
z
2
−
z
1
l
1
m
1
n
1
l
2
m
2
n
2
|
|
l
1
m
1
l
2
m
2
|
2
+
|
m
1
n
1
m
2
n
2
|
2
+
|
n
1
l
1
n
2
l
2
|
2
{\displaystyle d_{12}={\frac {\begin{vmatrix}x_{2}-x_{1}&y_{2}-y_{1}&z_{2}-z_{1}\\l_{1}&m_{1}&n_{1}\\l_{2}&m_{2}&n_{2}\end{vmatrix}}{\sqrt {{\begin{vmatrix}l_{1}&m_{1}\\l_{2}&m_{2}\end{vmatrix}}^{2}+{\begin{vmatrix}m_{1}&n_{1}\\m_{2}&n_{2}\end{vmatrix}}^{2}+{\begin{vmatrix}n_{1}&l_{1}\\n_{2}&l_{2}\end{vmatrix}}^{2}}}}}
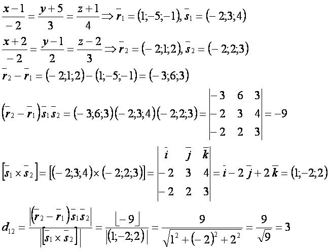
Даны две скрещивающиеся прямые:
x
−
1
−
2
=
y
+
5
3
=
z
+
1
4
{\displaystyle {\frac {x-1}{-2}}={\frac {y+5}{3}}={\frac {z+1}{4}}}
и
x
+
2
−
2
=
y
−
1
2
=
z
−
2
3
{\displaystyle {\frac {x+2}{-2}}={\frac {y-1}{2}}={\frac {z-2}{3}}}
.
Найти расстояние между ними.
Решение.
Формулы для параллельных прямых [ править ]
Формула для параллельных прямых в координатной форме
Векторная форма [ править ]
Для параллельных прямых формула имеет вид:
d
01
=
|
[
(
r
¯
2
−
r
¯
1
)
×
s
¯
1
]
|
|
s
¯
1
|
⇔
d
12
=
S
(
r
¯
2
−
r
¯
1
)
s
¯
1
|
s
¯
1
|
{\displaystyle d_{01}={\frac {\left|\left[\left({\bar {r}}_{2}-{\bar {r}}_{1}\right)\times {\bar {s}}_{1}\right]\right|}{\left|{\bar {s}}_{1}\right|}}\Leftrightarrow d_{12}={\frac {S_{\left({\bar {r}}_{2}-{\bar {r}}_{1}\right){\bar {s}}_{1}}}{\left|{\bar {s}}_{1}\right|}}}
Расстояние между параллельными прямыми равно отношению модуля векторного произведения векторов (r2 − r1 ) и s1 к длине вектора s1 .
Геометрический смысл формулы: расстояние — это длина высоты параллелограмма (построенного на векторах (r2 − r1 ) и s1 ), опущенной на основание параллелограмма в виде вектора (s1 ), равная отношению площади параллелограмма к длине основания.
Координатная форма [ править ]
Формула расстояния между параллельными прямыми в координатной форме имеет вид:
d
12
=
|
x
2
−
x
1
y
2
−
y
1
l
1
m
1
|
2
+
|
y
2
−
y
1
z
2
−
z
1
m
1
n
1
|
2
+
|
z
2
−
z
1
x
2
−
x
1
n
1
l
1
|
2
l
1
2
+
m
1
2
+
n
1
2
{\displaystyle d_{12}={\frac {\sqrt {{\begin{vmatrix}x_{2}-x_{1}&y_{2}-y_{1}\\l_{1}&m_{1}\end{vmatrix}}^{2}+{\begin{vmatrix}y_{2}-y_{1}&z_{2}-z_{1}\\m_{1}&n_{1}\end{vmatrix}}^{2}+{\begin{vmatrix}z_{2}-z_{1}&x_{2}-x_{1}\\n_{1}&l_{1}\end{vmatrix}}^{2}}}{\sqrt {l_{1}^{2}+m_{1}^{2}+n_{1}^{2}}}}}
Для параллельных прямых формула верна для векторов (r2 − r1 ) и s2 так же, как и для векторов (r2 − r1 ) и s1 .
Даны две параллельные прямые:
x
−
1
−
2
=
y
+
5
3
=
z
+
1
4
{\displaystyle {\frac {x-1}{-2}}={\frac {y+5}{3}}={\frac {z+1}{4}}}
и
x
+
4
4
=
y
−
3
−
6
=
z
−
5
−
8
{\displaystyle {\frac {x+4}{4}}={\frac {y-3}{-6}}={\frac {z-5}{-8}}}
.
Найти расстояние между ними.
Решение.
x
−
1
−
2
=
y
+
5
3
=
z
+
1
4
⇒
r
¯
1
=
(
1
;
−
5
;
−
1
)
,
s
¯
1
=
(
−
2
;
3
;
4
)
{\displaystyle {\frac {x-1}{-2}}={\frac {y+5}{3}}={\frac {z+1}{4}}\Rightarrow {\bar {r}}_{1}=(1;-5;-1),\ {\bar {s}}_{1}=(-2;3;4)}
x
+
4
4
=
y
−
3
−
6
=
z
−
5
−
8
⇒
r
¯
2
=
(
−
4
;
3
;
5
)
,
s
¯
1
=
(
4
;
−
6
;
−
8
)
{\displaystyle {\frac {x+4}{4}}={\frac {y-3}{-6}}={\frac {z-5}{-8}}\Rightarrow {\bar {r}}_{2}=(-4;3;5),\ {\bar {s}}_{1}=(4;-6;-8)}
r
¯
2
−
r
¯
1
=
(
−
4
;
3
;
5
)
−
(
1
;
−
5
;
−
1
)
=
(
−
5
;
8
;
6
)
{\displaystyle {\bar {r}}_{2}-{\bar {r}}_{1}=(-4;3;5)-(1;-5;-1)=(-5;8;6)}
[
(
r
¯
2
−
r
¯
1
)
×
s
¯
1
]
=
[
(
−
5
;
8
;
6
)
×
(
−
2
;
3
;
4
)
]
=
|
i
¯
j
¯
k
¯
−
5
8
6
−
2
3
4
|
==
14
i
¯
+
8
j
¯
+
k
¯
=
(
14
;
8
;
1
)
{\displaystyle \left[\left({\overline {r}}_{2}-{\overline {r}}_{1}\right)\times {\overline {s}}_{1}\right]=\left[(-5;8;6)\times (-2;3;4)\right]={\begin{vmatrix}{\bar {i}}&{\bar {j}}&{\bar {k}}\\-5&8&6\\-2&3&4\end{vmatrix}}==14{\bar {i}}+8{\bar {j}}+{\bar {k}}=(14;8;1)}
|
[
(
r
¯
2
−
r
¯
1
)
×
s
¯
1
]
|
=
|
(
14
;
8
;
1
)
|
=
14
2
+
8
2
+
1
2
=
196
+
64
+
1
=
261
{\displaystyle \left|\left[\left({\overline {r}}_{2}-{\overline {r}}_{1}\right)\times {\overline {s}}_{1}\right]\right|=\left|(14;8;1)\right|={\sqrt {14^{2}+8^{2}+1^{2}}}={\sqrt {196+64+1}}={\sqrt {261}}}
|
s
¯
1
|
=
|
(
−
2
;
3
;
4
)
|
=
(
−
2
)
2
+
3
2
+
4
2
=
4
+
9
+
16
=
29
{\displaystyle \left|{\bar {s}}_{1}\right|=\left|(-2;3;4)\right|={\sqrt {(-2)^{2}+3^{2}+4^{2}}}={\sqrt {4+9+16}}={\sqrt {29}}}
d
12
=
|
[
(
r
¯
2
−
r
¯
1
)
×
s
¯
1
]
|
|
s
¯
1
|
=
261
29
=
261
29
=
9
=
3
{\displaystyle d_{12}={\frac {\left|\left[\left({\overline {r}}_{2}-{\overline {r}}_{1}\right)\times {\overline {s}}_{1}\right]\right|}{\left|{\bar {s}}_{1}\right|}}={\frac {\sqrt {261}}{\sqrt {29}}}={\sqrt {\frac {261}{29}}}={\sqrt {9}}=3}
Корн Г., Корн Т. Справочник по математике для научных работников и инженеров — М.: Наука, 1970.