Векторное произведение

Материал из Циклопедии
Перейти к навигации Перейти к поиску

Векторное произведение, для двух векторов — вектор, перпендикулярный векторам-сомножителям, причём перемножаемые векторы и вектор произведения образуют правую тройку векторов.

Геометрический смысл модуля векторного произведения векторов — величина площади параллелограмма, построенного на этих векторах.

Обозначения[править]

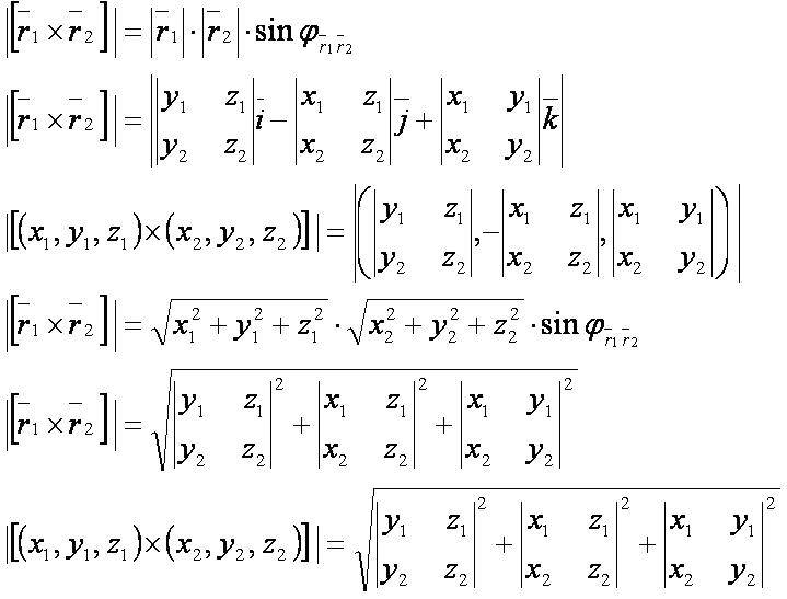
r1=(x1,y1,z1) — первый вектор;

r2=(x2,y2,z2) — второй вектор.

Формула[править]

ВЕК22.JPG

Свойства[править]

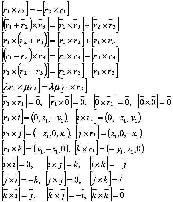
ВЕК32.JPG

Модуль векторного произведения выражается формулой:

ВЕК23.PNG

  • Заметим, что в формулах 0<φr1r2.

См. также[править]

Литература[править]

  • Корн Г., Корн Т. Справочник по математике для научных работников и инженеров — М.: Наука, 1970.

Ссылки[править]

временные ссылки

Другие операции[править]


 
Векторы и матрицы
Векторы
Основные понятия
Виды векторов
Операции над векторами
Типы пространств
Матрицы
Основные понятия
Специальные матрицы
Разложения матриц
Другое