Транспортная задача с промежуточными пунктами и ограничением по транзиту
Транспортная задача с промежуточными пунктами и ограничением по транзиту — транспортная задача оптимизации перевозок с использованием промежуточных (транзитных) пунктов с возможностью ограничения транзита в наиболее перегруженном промежуточном пункте.
Постановка задачи[править]
В экономической транспортной системе имеются n конечных пунктов (np поставщиков продукции и (n-np) потребителей продукции) и m промежуточных пунктов (складов). Продукция перевозится от поставщиков на склады, будем обозначать эти перевозки положительными переменными xij≥0, (i=1,m, j=1,np). А со складов часть продукции перевозится потребителям — их обозначим отрицательными переменными xij≤0, (i=1,m, j=np+1,n). Объёмы поставок поставщиков обозначим положительными числами bj>0, (j=1,np), объёмы потребностей потребителей обозначим отрицательными числами bj<0, (j=np+1,n). Если склад имеет дополнительные (внутренние) потребности продукции, то обозначим их положительными числами ai>0, (i=1,mp). Если склад имеет излишки продукции или нулевые остатки, то обозначим их числами ai≤0, (i=mp+1,m). Транспортные тарифы на перевозку единицы продукции от поставщика на склад выразим положительными числами cij>0, (i=1,m, j=1,np), транспортные тарифы на перевозку со склада к потребителю выразим отрицательными числами cij<0, (i=1,m, j=np+1,n).
Пусть T — это лимит транзита для перегружаемого склада At.
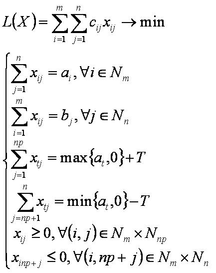
Тогда математическая модель задачи с ограничением по транзиту принимает вид:
,
где xij — объём перевозок продукта между промежуточным пунктом Ai и конечным пунктом Bj.
Условия разрешимости[править]
Для разрешимости задачи с ограничением по транзиту необходимо выполнение условий баланса:
,
то есть необходимо, чтобы алгебраическая сумма поставок на склады и отрицательных поставок со складов (потребностей в продукции) равнялась алгебраической сумме дополнительных потребностей в продукции на складах.
Постановка вспомогательной задачи[править]
Для случая перегруженного пункта с дополнительной потребностью at>0, введём дополнительный склад Am+1 («двойник» склада At) с избытком am+1=-T и пересчитаем для склада At дополнительную потребность at=at+T.
Пусть M — это достаточно большое положительное число.
Введём обозначения:
,
,
,
,
.
Для случая перегруженного пункта с избытком at≤0, введём дополнительный склад Am+1 («двойник» склада At) с дополнительной потребностью am+1=T и пересчитаем для склада At дополнительную потребность at=at-T. Введём обозначения:
,
,
,
,
.
Математическая модель вспомогательной задачи (в обоих случаях) принимает следующий вид:
.
Решение вспомогательной задачи[править]
Очевидно, что вспомогательная задача является закрытой транспортной задачей с промежуточными пунктами, которая разрешима по построению. Для определения начального решения используется метод северо-западного угла, а для решения применяется метод потенциалов. Очевидно, что M-множители и метод потенциалов приводят к нулевым соответствующим (сверх установленного лимита T на транзит) перевозкам в оптимальном решении. В оптимальном решении вспомогательной задачи все перевозки через конечные и промежуточные пункты без складов «двойников» являются оптимальным решением исходной задачи. А перевозки складов «двойников» объединяются (складываются) в перевозки склада At.
Другие задачи[править]
- Транспортная задача;
- Распределительная задача;
- Задача о назначениях;
- Транспортная задача с промежуточными пунктами;
- Транспортная задача с промежуточными пунктами с запретами;
- Транспортная задача с промежуточными пунктами и ограничением по транзиту;
- Открытая транспортная задача с промежуточными пунктами;
- Открытая транспортная задача с промежуточными пунктами 1;
- Открытая транспортная задача с промежуточными пунктами 2;
- Открытая транспортная задача с промежуточными пунктами 3;
- Открытая транспортная задача с промежуточными пунктами 4;
- Трёхиндексная транспортная задача;
- Трёхиндексная транспортная задача с аксиальными суммами;
- Трёхиндексная транспортная задача с промежуточными пунктами.
Литература[править]
- Кривопалов В. Ю., Модель транспортной задачи с промежуточными пунктами в матричной постановке, «Вестник Самарского государственного аэрокосмического университета» № 3, 2012.
- Кривопалов В. Ю., Метод северо-западного угла для нахождения допустимого решения транспортной задачи с промежуточными пунктами. Сборник конференции ПИТ-2014, СГАУ, стр.369-372.
- Кривопалов В. Ю., Обобщённый метод потенциалов для решения транспортной задачи с промежуточными пунктами. Сборник Х конференции «Наука. Творчество» 2014, Самара-Москва, Т.1,стр.23-29.
- Кривопалов В. Ю., Решение транспортной задачи с промежуточными пунктами и ограничением по транзиту. Сборник ХI конференции «Наука. Творчество» 2015, Самара, Т.1,стр.28-32.
Ссылки[править]
- Krivopalov V. Y., Krivopalov Y. A. The potential method for solving the transportation problem with transit points. New Magenta Papers. Magenta Technology, 2013. — Vol.2 — P.31-38. Перевод статьи.
- http://www.ssau.ru/files/events/2014/pit_14_1_6.pdf
- Участник:Logic-samara
