Метод Гаусса

Материал из Циклопедии
Перейти к навигации Перейти к поиску

Метод Гаусса — это численный метод нахождения решения системы линейных уравнений вида Ax=b.

Описание метода[править]

Суть метода Гаусса состоит в приведении системы уравнений к треугольному виду с помощью элементарных преобразований строк.

Алгоритм решения[править]

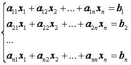
Входные данные: A, b.

МГА01.JPG

Прямой ход.

МГА02.JPG

МГА03.PNG

...

МГА04.PNG

МГА05.JPG

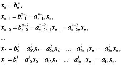
Обратный ход.

МГА06.JPG

Выходные данные: x.

См. также[править]

Другие методы:[править]

  • Для решения систем нелинейных уравнений используется метод Ньютона.


Ссылки[править]

  • Демидович Б.П., Марон И.А. Основы вычислительной математики. М.: Наука, 1970.
  • Участник:Logic-samara
 
Одномерные

Метод золотого сеченияДихотомияМетод параболПеребор по сеткеМетод равномерного блочного поискаМетод ФибоначчиТроичный поискМетод Пиявского

Прямые методы

Метод ГауссаМетод Нелдера — МидаМетод сопряжённых направленийМетод Хука — ДживсаМетод конфигурацийМетод Розенброка

Первого порядка

Градиентный спускМетод ЗойтендейкаПокоординатный спускМетод сопряжённых градиентовКвазиньютоновские методыАлгоритм Левенберга — Марквардта

Второго порядка

Метод НьютонаМетод Ньютона — РафсонаАлгоритм Бройдена — Флетчера — Гольдфарба — Шанно (BFGS)

Стохастические

Метод Монте-КарлоИмитация отжигаЭволюционные алгоритмыДифференциальная эволюцияМуравьиный алгоритмМетод роя частиц

Методы линейного
программирования

Симплекс-методАлгоритм ГомориМетод эллипсоидовМетод потенциалов

Методы нелинейного
программирования

Последовательное квадратичное программирование