Метод Зейделя

Материал из Циклопедии
Перейти к навигации Перейти к поиску

Метод Зейделя — это численный метод решения системы линейных уравнений вида Ax=b с заданной точностью ε.

Описание метода[править]

Суть метода Зейделя состоит в расчётах i-ой координаты новой точки x по известным (i-1) координатам новой точки и по (n-i+1) кординатам старой точки.

Этот метод является модификацией метода простых итераций.

Итерации продолжаются до достижения необходимой точности решения ε.

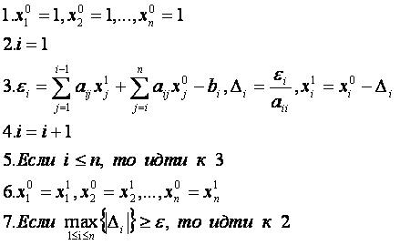
Алгоритм решения[править]

Входные данные: A, b, ε.

МЗЕ01.JPG

Выходные данные: x.

Другие методы:[править]

  • Для решения систем нелинейных уравнений используется метод Ньютона.


Литература[править]

  • Демидович Б. П., Марон И. А. Основы вычислительной математики. М.: Наука, 1970

Ссылки[править]