Метод Халецкого
Перейти к навигации
Перейти к поиску
Метод Халецкого – это метод решения ситемы линейных уравнений с квадратной матрицей коэффициентов, записанной в матричном виде Ax=b.
Описание метода[править]
Суть метода состоит в представлении матрицы в виде произведения двух треугольных матриц, в составлении двух вспомогательных треугольных систем и решении их.
Сначала найдём главный определитель системы Δ. Метод Халецкого применим, если главный определитель системы Δ≠0.
Обозначения[править]
- – число строк и столбцов матриц;
- – размерность матриц;
- – элемент матрицы ;
- – элемент матрицы ;
- – элемент матрицы ;
- – исходная симметриная матрица;
- – нижнетреугольная матрица;
- – верхнетреугольная матрица.
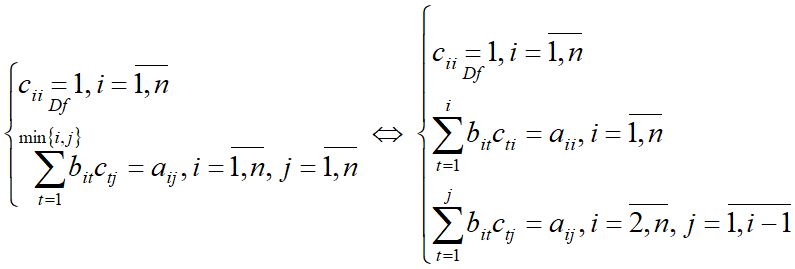
Система[править]
Алгоритм метода[править]
- Этап 1. Разложение квадратной матрицы A на треугольные B и C.
- Приведены основные формулы для вычисления элементов треугольных матриц и последовательность их расчёта.
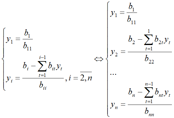
- Этап 2. Прямой ход — решение системы By=b относительно y.
- Приведены основные формулы для определения решения и последовательность расчёта.
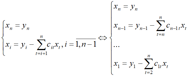
- Этап 3. Обратный ход — решение системы Cx=y относительно x.
- Приведены основные формулы для определения решения и последовательность расчёта.
Другие методы:[править]
- Для решения систем нелинейных уравнений используется метод Ньютона.
Литература[править]
- Демидович Б.П., Марон И.А. Основы вычислительной математики. Уч.пос., изд.5, СПб.: Лань, 2006, стр.290-291, 672 с..



