Произведение треугольных матриц
Перейти к навигации
Перейти к поиску
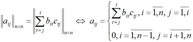
Произведение треугольных матриц – это матрица с элементами, равными сумме произведений соответствующих элементов строк первой матрицы-сомножителя и элементов столбцов второй матрицы-сомножителя.
Обозначения[править]
- – число строк и столбцов матриц;
- – размерность матриц;
- – элемент матрицы ;
- – элемент матрицы ;
- – элемент матрицы ;
– квадратная матрица – матрица-произведение;
– нижнетреугольная матрица – первая матрица-сомножитель;
– верхнетреугольная матрица – вторая матрица-сомножитель;
Формула[править]
Другие операции:[править]
- сложение матриц;
- вычитание матриц;
- умножение матрицы на число;
- умножение матриц;
- умножение клеточных матриц;
- умножение треугольных матриц;
- умножение элементов матриц;
- извлечение корня из элементов матрицы;
- деление матриц;
- транспонирование матрицы;
- обращение матрицы;
- обращение клеточной матрицы;
- обращение матрицы методом окаймления;
- возведение в степень матрицы;
- разложение матрицы на треугольные;
- нахождение определителя;
- нахождение минора;
- нахождение алгебраического дополнения.
