Частное от деления двух матриц
(перенаправлено с «Деление матриц»)
Перейти к навигации
Перейти к поиску
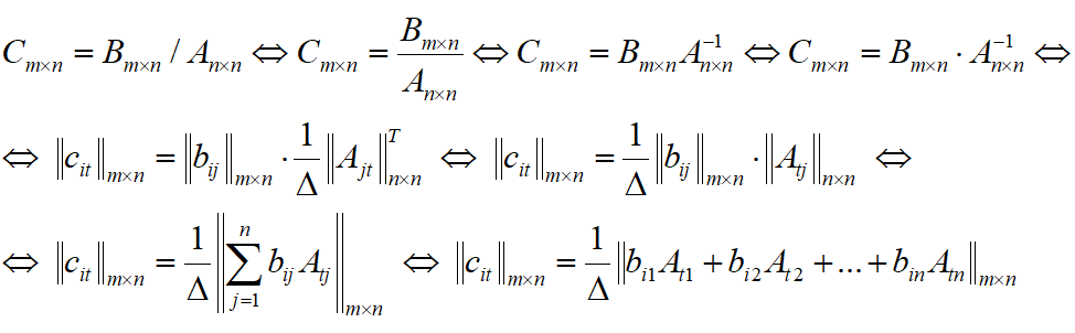
Частное от деления двух матриц – матрица с элементами, равными сумме произведений соответствующих элементов строк матрицы-делимого и элементов столбцов обратной матрицы-делителя.
Обозначения[править]
- – число строк матрицы-делимого и матрицы-частного;
- – число строк матрицы-делителя и число столбцов для всех матриц;
- – размерность матрицы-делимого и матрицы-частного;
- – размерность матрицы-делителя;
- – элемент матрицы , лежащий на пересечении -ой строки и -ого столбца матрицы;
- – элемент матрицы , лежащий на пересечении -ой строки и -ого столбца матрицы;
- – элемент матрицы , лежащий на пересечении -ой строки и -ого столбца матрицы;
- – aлгебраическое дополнение к элементу матрицы ;
- – определитель матрицы ;
Формула[править]
- Заметим, что делить можно только матрицы у которых число столбцов матрицы-делимого совпадает с числом столбцов матрицы-делителя, причём матрица-делитель квадратная матрица с определителем отличным от нуля.
- Деление матрицы на единичную матрицу даёт матрицу-делимое .
- Деление единичной матрицы на квадратную матрицу даёт обратную матрицу-делителя .
Другие операции[править]
- сложение матриц;
- вычитание матриц;
- умножение матрицы на число;
- умножение матриц;
- умножение клеточных матриц;
- умножение треугольных матриц;
- умножение элементов матриц;
- извлечение корня из элементов матрицы;
- деление матриц;
- транспонирование матрицы;
- обращение матрицы;
- обращение клеточной матрицы;
- обращение треугольной матрицы;
- обращение матрицы методом окаймления;
- обращение треугольной матрицы методом окаймления;
- возведение в степень матрицы;
- разложение матрицы на треугольные;
- разложение симметричной матрицы на треугольные;
- нахождение определителя;
- нахождение минора;
- нахождение алгебраического дополнения.