Метод окаймления
Перейти к навигации
Перейти к поиску
Метод окаймления – это метод нахождения обратной матрицы.
Цель метода состоит в нахождении обратной матрицы с использованием элементов окаймления исходной матрицы.
Суть метода в вычислении элементов обратной матрицы через элементы обратной главной подматрицы и элементы окаймления исходной матрицы.
Возможно последовательное вычисление обратных матриц всех главных подматриц исходной матрицы.
Определения[править]
Главная подматрица для матрицы размерности nxn это матрица размерности (n-1)x(n-1) из первых (n-1) строк и (n-1) столбцов.
Элементы окаймления исходной матрицы это элементы последнего столбца и последней строки матрицы.
Обозначения[править]
- n – порядок матрицы;
– исходная матрица с окаймлением;
Алгоритм метода окаймления[править]
- Этап 1. Вычисление элементов вспомогательной матрицы по формулам:
- Этап 2. Вычисление элементов обратной матрицы по формулам:
- Формулы метода окаймления являются частным случаем формул обратной клеточной матрицы, с клеткой (2;2) (матрицы Anxn) равной последнему элементу ann.
Примеры алгоритма[править]
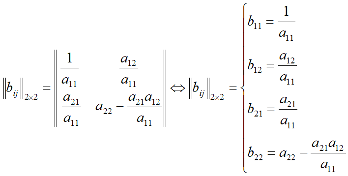
n=2[править]
- Этап 1. Вычисление элементов вспомогательной матрицы по формулам:
- Этап 2. Вычисление элементов обратной матрицы по формулам:
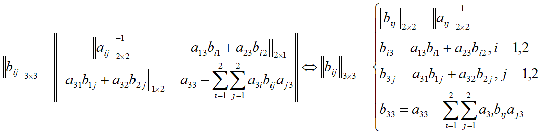
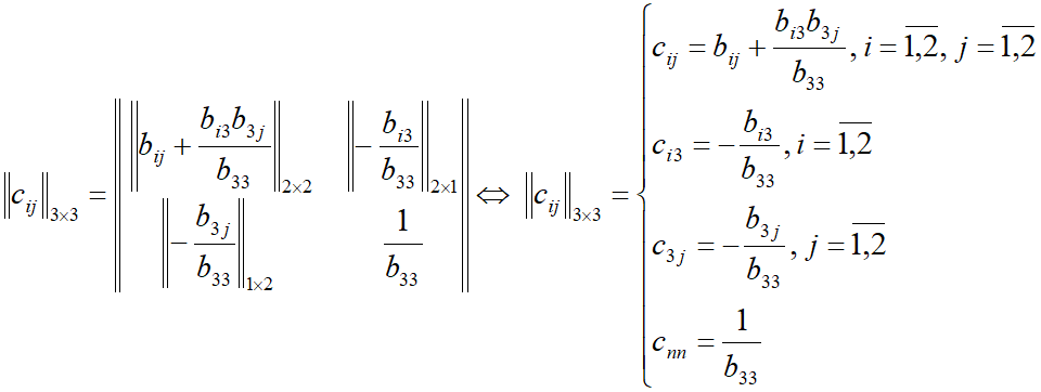
n=3[править]
- Этап 1. Вычисление элементов вспомогательной матрицы по формулам:
- Этап 2. Вычисление элементов обратной матрицы по формулам:
Другие операции:[править]
- сложение матриц;
- вычитание матриц;
- умножение матрицы на число;
- умножение матриц;
- умножение клеточных матриц;
- умножение элементов матриц;
- извлечение корня из элементов матрицы;
- деление матриц;
- транспонирование матрицы;
- обращение матрицы;
- обращение клеточной матрицы;
- обращение матрицы методом окаймления;
- возведение в степень матрицы;
- нахождение определителя;
- нахождение минора;
- нахождение алгебраического дополнения.
Литература[править]
- Демидович Б.П., Марон И.А. Основы вычислительной математики. Уч.пос., изд.5, СПб.: Лань, 2006, стр.258-260, 672 с..







