Определитель матрицы
(перенаправлено с «Определитель»)
Перейти к навигации
Перейти к поиску
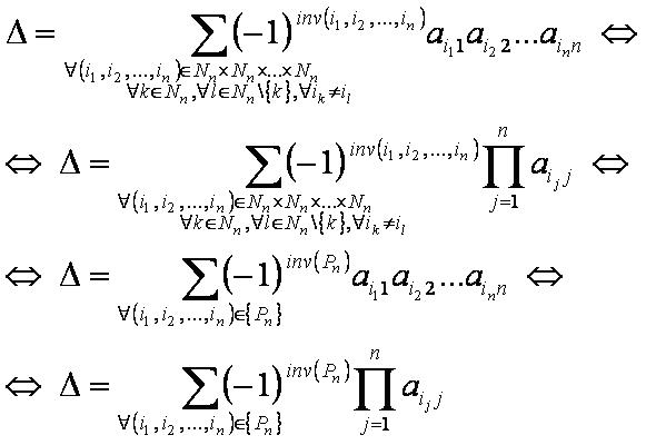
Определитель матрицы — это число равное алгебраической сумме всевозможных произведений n элементов матрицы размерности nxn, не лежащих в одной строке и в одном столбце, причём произведения берутся со знаком, определяемым по числу инверсий (для чётного числа инверсий знак "+", для нечётного числа инверсий знак "-").
Обозначения[править]
- – порядок матрицы;
- – размерность матрицы;
- – элемент матрицы , лежащий на пересечении -ой строки и -ого столбца матрицы;
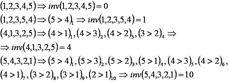
Инверсия[править]
Инверсией называется нарушение порядка (возрастания) в наборе индексов (чисел в перестановке).
Число инверсий – это число всех нарушений порядка (возрастания) в наборе индексов (чисел в перестановке).
– число инверсий перестановки или набора индексов.
Примеры:[править]
Формулы:[править]
- Заметим, что определитель существует только для квадратных матриц.
Примеры:[править]
n=1[править]
- Заметим, что |a11| - это не модуль числа, а определитель матрицы из одного элемента.
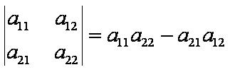
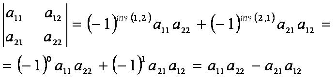
n=2[править]
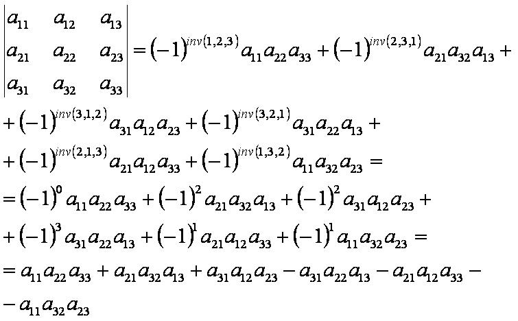
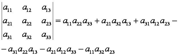
n=3[править]
Отсюда следует формула вида:
Другие операции:[править]
- сложение матриц;
- вычитание матриц;
- умножение матрицы на число;
- умножение матриц;
- умножение клеточных матриц;
- умножение треугольных матриц;
- умножение элементов матриц;
- извлечение корня из элементов матрицы;
- деление матриц;
- транспонирование матрицы;
- обращение матрицы;
- обращение клеточной матрицы;
- обращение треугольной матрицы;
- обращение матрицы методом окаймления;
- обращение треугольной матрицы методом окаймления;
- возведение в степень матрицы;
- разложение матрицы на треугольные;
- разложение симметричной матрицы на треугольные;
- нахождение определителя;
- нахождение минора;
- нахождение алгебраического дополнения.