Обратная треугольная матрица
Перейти к навигации
Перейти к поиску
Обратная треугольная матрица – квадратная треугольная матрица, которая при умножении на исходную треугольную матрицу и наоброт, при умножении на которую исходной, получается единичная матрица.
Обратная матрица неособенной треугольной матрицы есть также треугольная матрица того же типа и структуры.
Обозначения[править]
- – число строк и столбцов матриц;
- – размерность матриц;
- – элемент матрицы ;
- – элемент матрицы ;
- – исходная треугольная матрица;
- – обратная треугольная матрица.
Формулы:[править]
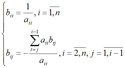
Обратная нижнетреугольная матрица[править]
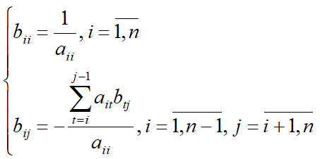
Обратная верхнетреугольная матрица[править]
Другие операции:[править]
- сложение матриц;
- вычитание матриц;
- умножение матрицы на число;
- умножение матриц;
- умножение клеточных матриц;
- умножение треугольных матриц;
- умножение элементов матриц;
- извлечение корня из элементов матрицы;
- деление матриц;
- транспонирование матрицы;
- обращение матрицы;
- обращение клеточной матрицы;
- обращение треугольной матрицы;
- обращение матрицы методом окаймления;
- возведение в степень матрицы;
- разложение матрицы на треугольные;
- нахождение определителя;
- нахождение минора;
- нахождение алгебраического дополнения.

