Метод неполного решения

Материал из Циклопедии
Перейти к навигации Перейти к поиску

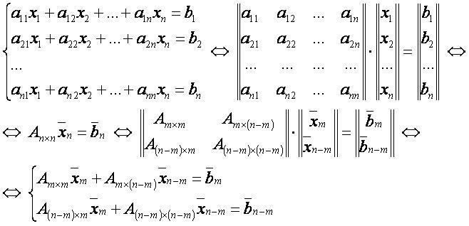
Метод неполного решения — метод решения системы линейных n уравнений относительно первых m неизвестных.

Описание[править]

Суть метода неполного решения системы линейных уравнений состоит в разбиении матрицы коэффициентов системы на матрицы-клетки и применении специальной формулы решения.

Система уравнений[править]

МНР00.JPG

Формула решения[править]

МНР01.JPG

Другие методы[править]

  • Для решения систем нелинейных уравнений используется метод Ньютона.


Литература[править]

  • Корн Г., Корн Т. Справочник по математике для научных работников и инженеров. М.: Лань, 2003, стр.666.

Ссылки[править]