Метод Ньютона

Материал из Циклопедии
Перейти к навигации Перейти к поиску

Метод Ньютона — это численный метод решения системы нелинейных уравнений вида F(X) = 0 с заданной точностью ε.

Описание метода[править]

Суть метода Ньютона состоит в расчётах новой точки X по старой точке.

Для решения методом Ньютона системы n нелинейных уравнений с n неизвестными, то есть системы вида:

МН01.JPG

где fi(x1,x2,… ,xn) для 1≤i≤n, дважды непрерывно дифференцируема (в некоторой окрестности решения X системы уравнений F(X)=0), сначала находим матрицу из частных производных для системы функций f1(x1,x2,… ,xn), f2(x1,x2,… ,xn), …, fn(x1,x2,… ,xn), которая называется матрицей Якоби:

МН011.JPG

Затем для k=0 выбираем начальную точку X0 в некоторой окрестности решения X*, причём ΔЯ(X0)≠0, например X0=(1;1;…;1). Далее на (k+1)-шаге вычисляем матрицу Якоби Я(Xk)=F’(Xk), систему функций F(Xk) в точке Xk, и новую точку Xk+1 вычисляем по формуле:

МН012.JPG

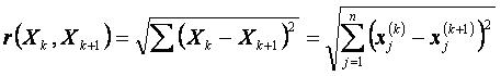
Расстояние между точками определяется по формуле:

МН013.JPG

Итерации продолжаются до достижения необходимой точности решения ε.

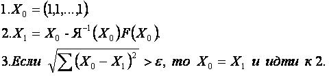
Алгоритм решения[править]

Входные данные: F, Я, ε.

МН02.JPG

Выходные данные: X1.

  • Заметим, что метод Ньютона при n=1, то есть для нелинейного уравнения f1(x1)=0, становится методом касательных.

Другие методы:[править]

  • Для решения систем нелинейных уравнений используется метод Ньютона.


Другие системы:[править]


Другие понятия:[править]


Литература[править]

  • Демидович Б. П., Марон И. А. Основы вычислительной математики. М.: Наука, 1970.

Ссылки[править]

 
Одномерные

Метод золотого сеченияДихотомияМетод параболПеребор по сеткеМетод равномерного блочного поискаМетод ФибоначчиТроичный поискМетод Пиявского

Прямые методы

Метод ГауссаМетод Нелдера — МидаМетод сопряжённых направленийМетод Хука — ДживсаМетод конфигурацийМетод Розенброка

Первого порядка

Градиентный спускМетод ЗойтендейкаПокоординатный спускМетод сопряжённых градиентовКвазиньютоновские методыАлгоритм Левенберга — Марквардта

Второго порядка

Метод НьютонаМетод Ньютона — РафсонаАлгоритм Бройдена — Флетчера — Гольдфарба — Шанно (BFGS)

Стохастические

Метод Монте-КарлоИмитация отжигаЭволюционные алгоритмыДифференциальная эволюцияМуравьиный алгоритмМетод роя частиц

Методы линейного
программирования

Симплекс-методАлгоритм ГомориМетод эллипсоидовМетод потенциалов

Методы нелинейного
программирования

Последовательное квадратичное программирование