Первый замечательный предел

Материал из Циклопедии
Перейти к навигации Перейти к поиску
Первый замечательный предел и его модификации. Замена переменной под знаком предельного перехода // Виктор Глазнев [27:13]

Первый замечательный предел — наименование в советской и российской математической литературе предела вида

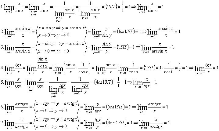
Следствия[править]

  1. Невозможно разобрать выражение (Ошибка преобразования. Сервер («https://wikimedia.org/api/rest_») сообщил: «Cannot get mml. Server problem.»): {\displaystyle \lim _{x\to 0}{\frac {\arcsin x}{x}}=1.}
  2. Невозможно разобрать выражение (Ошибка преобразования. Сервер («https://wikimedia.org/api/rest_») сообщил: «Cannot get mml. Server problem.»): {\displaystyle \lim _{x\to 0}{\frac {x}{\operatorname {tg} }}=1.}
  3. Невозможно разобрать выражение (Ошибка преобразования. Сервер («https://wikimedia.org/api/rest_») сообщил: «Cannot get mml. Server problem.»): {\displaystyle \lim _{x\to 0}{\frac {x}{\operatorname {arctg} x}}=1.}

Доказательства следствий[править]

ПРЕ225.PNG

Другие пределы[править]

Литература[править]

  • Корн Г., Корн Т. Справочник по математике для научных работников и инженеров. М.: Наука, 1970.

Ссылки[править]