Пределы дробно-рациональных функций

Материал из Циклопедии
Перейти к навигации Перейти к поиску

Пределы дробно-рациональных функций — пределы дробных выражений, в которых и числитель, и знаменатель являются многочленами с рациональными коэффициентами.

Приёмы нахождения пределов:[править]

Раскрытие неопределённости типа [∞/∞]:[править]

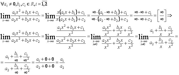
1)

ПРЕ411.PNG

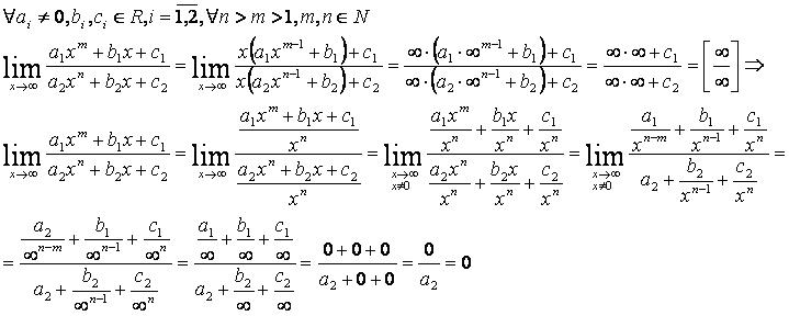
2)

ПРЕ412.JPG

3)

ПРЕ413.PNG

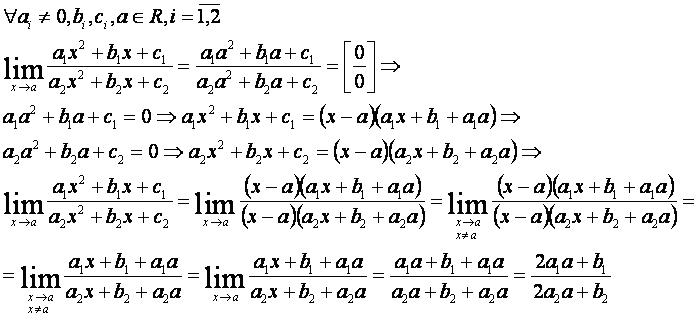
Раскрытие неопределённости типа [0/0]:[править]

ПРЕ421.PNG

Другие пределы:[править]


Литература[править]

  • Корн Г., Корн Т. Справочник по математике для научных работников и инженеров. М.: Наука, 1970.