Пределы функций с корнями

Материал из Циклопедии
Перейти к навигации Перейти к поиску

Пределы функций с корнями — пределы выражений, в которых есть корни (знаки радикала) из выражений.

Приёмы нахождения пределов[править]

Раскрытие неопределённости типа [0/0]:[править]

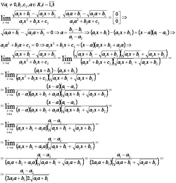
1)

ПРЕ431.PNG

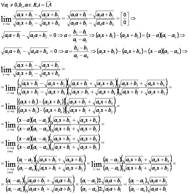
2)

ПРЕ432.JPG

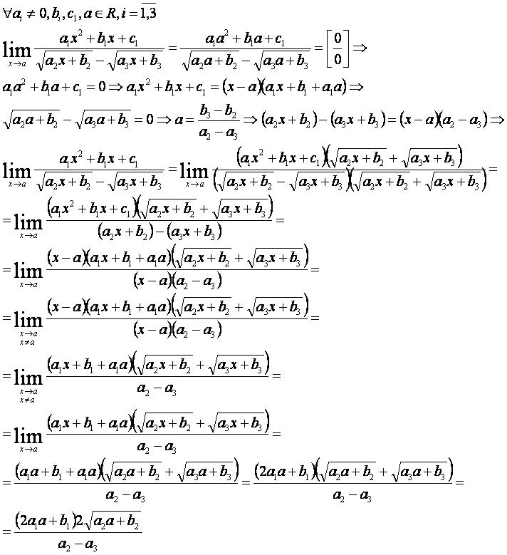
3)

ПРЕ433.JPG

Другие пределы:[править]


Литература[править]

  • Корн Г., Корн Т. Справочник по математике для научных работников и инженеров. М.: Наука, 1970.