Площадь пятиугольника Рёло

Материал из Циклопедии
Перейти к навигации Перейти к поиску
Пятиугольник Рёло

Площадь пятиугольника Рёло — это число, характеризующее пятиугольник Рёло в единицах измерения площади.

Пятиугольник Рёло — это выпуклый криволинейный пятиугольник, получаемый при пересечении пяти окружностей радиуса равного диагонали правильного пятиугольника с центрами в противоположных сторонам вершинах правильного пятиугольника.

Обозначения[править]

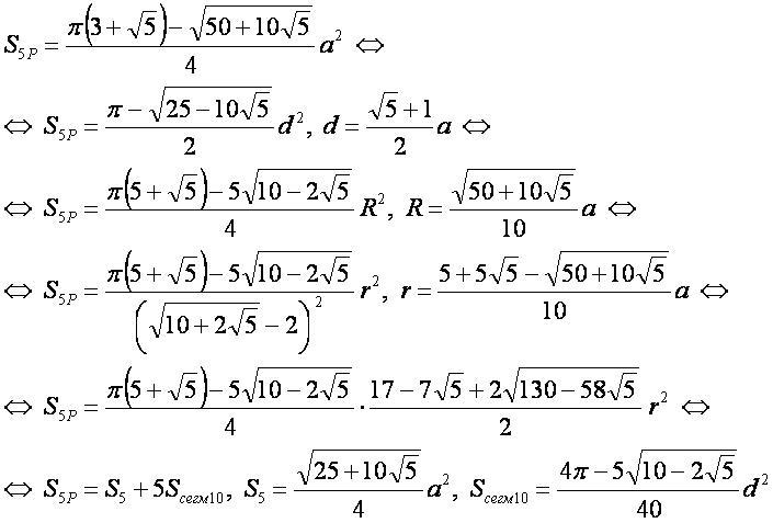
a — сторона правильного пятиугольника и основание сегмента;

d — диагональ правильного пятиугольника, ширина пятиугольника Рёло и радиус образующих окружностей;

R — радиус описанной (около правильного пятиугольника и пятиугольника Рёло) окружности;

r — радиус вписанной (в пятиугольник Рёло) окружности;

Sсегм10площадь сегмента правильного десятиугольника;

S5площадь правильного пятиугольника;

S — площадь пятиугольника Рёло.

Формулы:[править]

n=5:[править]

ППЯТР01.JPG

α=π/5:[править]

ППЯТР02.JPG

где

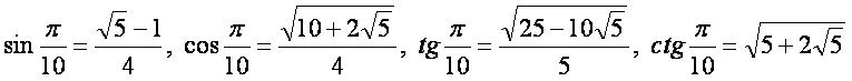
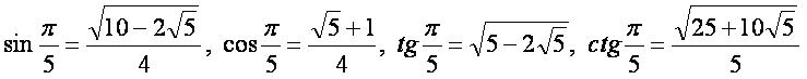
ТФУ05.JPG ТФУ10.JPG

Другие многоугольники:[править]

Ссылки[править]