Площадь треугольника Рёло

Материал из Циклопедии
Перейти к навигации Перейти к поиску
Треугольник Рёло

Площадь треугольника Рёло — число, характеризующее треугольник Рёло в единицах измерения площади.

Связанные определения[править]

Треугольник Рёло — выпуклый криволинейный треугольник, получаемый при пересечении трёх окружностей одного радиуса с центрами в вершинах правильного треугольника со стороной равной радиусу.

Франц Рёло (1829-1905) немецкий учёный в области механики и машиностроения, исследовавший свойства этого треугольника и использовавший его в своих механизмах.

Обозначения[править]

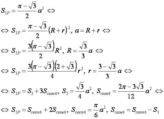
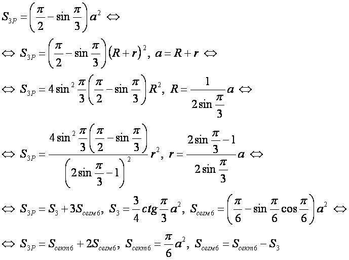
a — сторона правильного треугольника, основание сегмента, ширина треугольника Рёло и радиус образующих окружностей;

R — радиус описанной (около правильного треугольника и треугольника Рёло) окружности;

r — радиус вписанной (в треугольник Рёло) окружности;

Sсегм6площадь сегмента правильного шестиугольника;

Sсект6площадь сектора правильного шестиугольника;

S3площадь равностороннего треугольника;

Sплощадь треугольника Рёло.

Формулы[править]

n=3:[править]

ПТРР01.PNG

α=π/3:[править]

ПТРР02.JPG

где

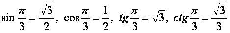
ТФУ03.JPG ТФУ06.PNG

Треугольник Рёло является фигурой постоянной ширины минимальной площади.

Другие многоугольники[править]


См.также[править]

Ссылки[править]