VIDEO
Видеоурок «Расстояние от точки до плоскости» // Математика от alwebra.com.ua [5:29]
VIDEO
§44 Расстояние от точки до плоскости // Мемория Высшая Математика [8:16]
Формула расстояния от точки до плоскости в координатной форме
Расстояние от точки до плоскости — это длина перпендикуляра к плоскости, опущенного из точки.
r
¯
0
=
(
x
0
,
y
0
,
z
0
)
{\displaystyle {\bar {r}}_{0}=(x_{0},y_{0},z_{0})}
— радиус-вектор точки;
n
¯
1
=
(
A
1
,
B
1
,
C
1
)
{\displaystyle {\bar {n}}_{1}=(A_{1},B_{1},C_{1})}
— нормаль к плоскости;
A
1
x
+
B
1
y
+
C
1
z
+
D
1
=
0
{\displaystyle A_{1}x+B_{1}y+C_{1}z+D_{1}=0}
— уравнение плоскости;
d
01
{\displaystyle d_{01}}
— расстояние от точки до плоскости.
Векторная форма [ править ]
Для точки и плоскости формула расстояния имеет вид:
d
01
=
|
(
r
¯
0
⋅
n
¯
1
)
+
D
1
|
|
n
¯
1
|
{\displaystyle d_{01}={\frac {\left|\left({\bar {r}}_{0}\cdot {\bar {n}}_{1}\right)+D_{1}\right|}{\left|{\bar {n}}_{1}\right|}}}
Расстояние от точки до плоскости равно отношению модуля суммы скалярного произведения векторов (r0 и n1 ) и коэффициента D1 к длине нормали (n1 ).
Геометрический смысл формулы: расстояние - это длина отклонения точки от плоскости.
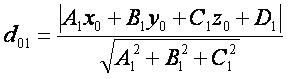
Координатная форма [ править ]
Формула расстояния от точки до плоскости в координатной форме имеет вид:
d
01
=
|
A
1
x
0
+
B
1
y
0
+
C
1
z
0
+
D
1
|
A
1
2
+
B
1
2
+
C
1
2
{\displaystyle d_{01}={\frac {\left|A_{1}x_{0}+B_{1}y_{0}+C_{1}z_{0}+D_{1}\right|}{\sqrt {A_{1}^{2}+B_{1}^{2}+C_{1}^{2}}}}}
Даны точка и плоскость:
(
−
4
;
3
;
5
)
{\displaystyle (-4;3;5)}
и
−
x
+
2
y
−
2
z
+
9
=
0
{\displaystyle -x+2y-2z+9=0}
.
Найти расстояние между ними.
Решение.
Дана точка
(
−
4
;
3
;
5
)
⇒
r
¯
0
=
(
−
4
;
3
;
5
)
{\displaystyle (-4;3;5)\Rightarrow {\bar {r}}_{0}=(-4;3;5)}
Дана плоскость
−
x
+
2
y
−
2
z
+
9
=
0
⇒
n
¯
1
=
(
−
1
;
2
;
−
2
)
,
D
1
=
9
{\displaystyle -x+2y-2z+9=0\Rightarrow {\bar {n}}_{1}=(-1;2;-2),\ D_{1}=9}
(
r
¯
0
⋅
n
¯
1
)
=
(
(
−
4
;
3
;
5
)
⋅
(
−
1
;
2
;
−
2
)
)
=
(
−
4
)
⋅
(
−
1
)
+
3
⋅
2
+
5
⋅
(
−
2
)
=
0
{\displaystyle \left({\bar {r}}_{0}\cdot {\bar {n}}_{1}\right)=\left((-4;3;5)\cdot (-1;2;-2)\right)=(-4)\cdot (-1)+3\cdot 2+5\cdot (-2)=0}
|
n
¯
1
|
=
|
(
−
1
;
2
;
−
2
)
|
=
(
−
1
)
2
+
2
2
+
(
−
2
)
2
=
1
+
4
+
4
=
9
=
3
{\displaystyle \left|{\bar {n}}_{1}\right|=\left|(-1;2;-2)\right|={\sqrt {(-1)^{2}+2^{2}+(-2)^{2}}}={\sqrt {1+4+4}}={\sqrt {9}}=3}
d
01
=
|
(
r
¯
0
⋅
n
¯
1
)
+
D
1
|
|
n
¯
1
|
=
|
0
+
9
|
3
=
3
{\displaystyle d_{01}={\frac {\left|\left({\bar {r}}_{0}\cdot {\bar {n}}_{1}\right)+D_{1}\right|}{\left|{\bar {n}}_{1}\right|}}={\frac {|0+9|}{3}}=3}
Корн Г., Корн Т. Справочник по математике для научных работников и инженеров — М.: Наука, 1970