Объём параллелепипеда

Материал из Циклопедии
Перейти к навигации Перейти к поиску
Параллелепипед

Объём параллелепипеда — это число, характеризующее параллелепипед в единицах измерения объёма.

Параллелепипед — это шестигранник с параллельными противоположными гранями (параллелограммами).

Обозначения[править]

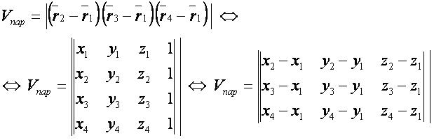
 — радиус-вектор первой точки;
 — радиус-вектор второй точки;
 — радиус-вектор третьей точки;
 — радиус-вектор четвёртой точки;
 — нормаль к плоскости, проходящей через три заданные точки;
— объём параллелепипеда, построенного по четырём заданным точкам.

Формула[править]

ОПА01.JPG

Если четвёртую точку взять в начале координат, то формула упрощается до следующей:

ОПА02.JPG

См. также[править]

Другие многогранники[править]


Другие формулы[править]


Литература[править]

  • Корн Г., Корн Т. Справочник по математике для научных работников и инженеров — М.: Наука, 1970. стр.76.

Ссылки[править]