Интеграл Эйлера — Пуассона
(перенаправлено с «Интеграл Эйлера-Пуассона»)
Перейти к навигации
Перейти к поиску
Интеграл Эйлера — Пуассона — определенный интеграл вида:
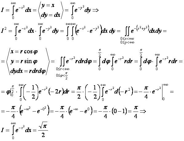
Вывод формулы
Следствие
Дополнение
Для фиксированного x имеем:
При x = 1 получаем:
Другие интегралы:
- интеграл;
- интегралы элементарных функций;
- интегралы дробно-рациональных функций;
- интегралы функций с корнями;
- интегралы тригонометрических функций;
- интегралы обратных тригонометрических функций;
- интегралы гиперболических функций;
- интегралы обратных гиперболических функций;
- интеграл Фурье;
- интеграл Фурье комплексный;
- эллиптические интегралы;
- интегралы, определяемые методом замены переменных;
- интегралы, определяемые по интегральным равенствам;
- интегралы, определяемые по интегральным формулам;
- интеграл Эйлера-Пуассона.
Литература
- Кудрявцев В. А., Демидович Б. П. Краткий курс высшей математики — М.: «Наука», 1975.