Интегралы дробно-рациональных функций
Интегралы дробно-рациональных функций — интегралы с подынтегральными функциями в виде дроби, в которой числитель и знаменатель многочлены.
Обозначения[править]
f(x) — дробно-рациональная функция;
fправ(x) — правильная рациональная дробь;
fнеправ(x) — неправильная рациональная дробь;
Pm(x) — многочлен степени m;
Pn-1(x) — многочлен степени n-1;
Qn(x) — многочлен степени n;
Rm-n(x) — многочлен степени m-n при m≥n;
aj, bj, cj, x0 — коэффициенты.
Свойства[править]
m≥n[править]
Интеграл от неправильной рациональной дроби равен сумме интегралов от соответствующих целой части и правильной дроби:
m<n[править]
Свойство 1[править]
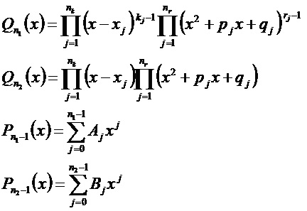
Если знаменатель правильной рациональной дроби представим в виде произведения ,
то интеграл от правильной рациональной дроби равен сумме интегралов соответствующих простейших рациональных дробей:
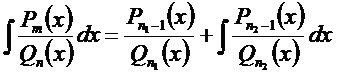
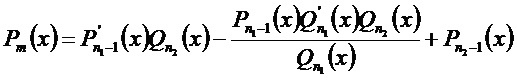
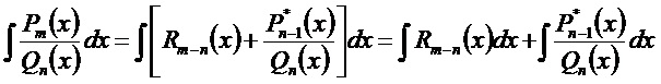
Свойство 2[править]
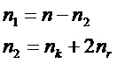
Если знаменатель правильной рациональной дроби представим в виде произведения ,
то интеграл от правильной рациональной дроби равен сумме правильной рациональной дроби 1 и интеграла правильной рациональной дроби 2:
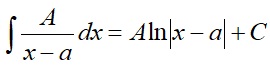
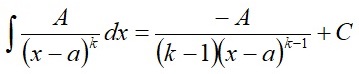
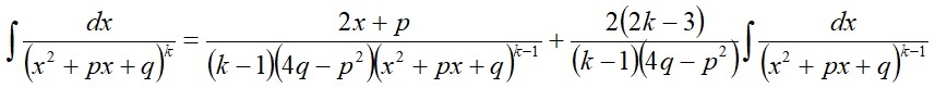
Интегралы простейших рациональных дробей[править]
Другие интегралы[править]
- интеграл;
- интегралы элементарных функций;
- интегралы дробно-рациональных функций;
- интегралы функций с корнями;
- интегралы тригонометрических функций;
- интегралы обратных тригонометрических функций;
- интегралы гиперболических функций;
- интегралы обратных гиперболических функций;
- интеграл Фурье;
- интеграл Фурье комплексный;
- эллиптические интегралы;
- интегралы, определяемые методом замены переменных;
- интегралы, определяемые по интегральным равенствам;
- интегралы, определяемые по интегральным формулам;
- интеграл Эйлера-Пуассона.