Комплексный интеграл Фурье
(перенаправлено с «Интеграл Фурье комплексный»)
Перейти к навигации
Перейти к поиску
Интеграл Фурье комплексный — это интеграл, представляющий в комплексной форме функцию f(x) на интервале (−∞, ∞).
Формулы:[править]
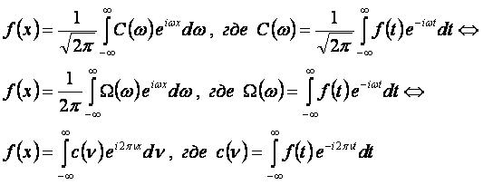
Представление функции f(x) на интервале (−∞; ∞):
- , где Невозможно разобрать выражение (SVG с запасным PNG (MathML можно включить с помощью плагина для браузера): Недопустимый ответ («Math extension cannot connect to Restbase.») от сервера «https://wikimedia.org/api/rest_v1/»:): {\displaystyle C(\omega)=\frac{1}{\sqrt{2\pi}}\int\limits_{-\infty}^\infty f(t)e^{-i\omega t}dt \Leftrightarrow}
- , где
- , где
- Коэффициент C(ω) называется преобразованием Фурье функции f(x).
См. также[править]
Другие интегралы:[править]
- интеграл;
- интегралы элементарных функций;
- интегралы дробно-рациональных функций;
- интегралы функций с корнями;
- интегралы тригонометрических функций;
- интегралы обратных тригонометрических функций;
- интегралы гиперболических функций;
- интегралы обратных гиперболических функций;
- интеграл Фурье;
- интеграл Фурье комплексный;
- эллиптические интегралы;
- интегралы, определяемые методом замены переменных;
- интегралы, определяемые по интегральным равенствам;
- интегралы, определяемые по интегральным формулам;
- интеграл Эйлера-Пуассона.
Литература[править]
- Корн Г., Корн Т. Справочник по математике для научных работников и инженеров — М.: Наука, 1970.
- Бермант А. Ф., Араманович И. Г. Краткий курс математического анализа для втузов — М.: Наука, 1973.