Интегральные равенства
Перейти к навигации
Перейти к поиску
Интегральные равенства — это равенства, содержащие в правой и левой частях интегралы.
Обозначения:[править]
p, q, r — рациональные числа;
a, b, c — действительные числа;
x, t — переменные.
Подынтегральные функции:[править]
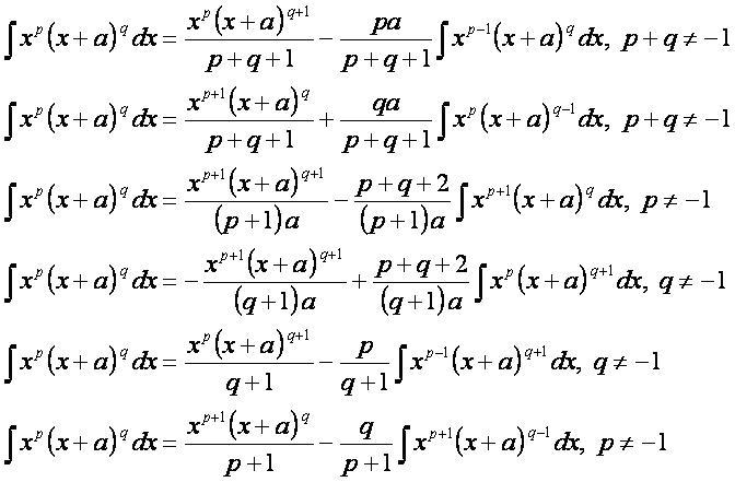
xp(x+a)q[править]
xp(bxr+c)q[править]
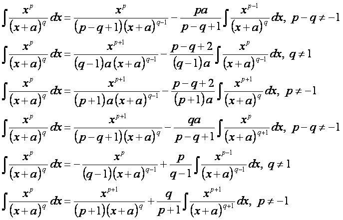
xp/(x+a)q[править]
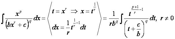
xp/(bxr+c)q[править]
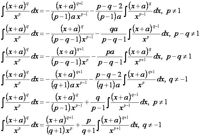
(x+a)q/xp[править]
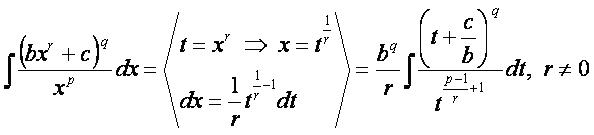
(bxr+c)q/xp[править]
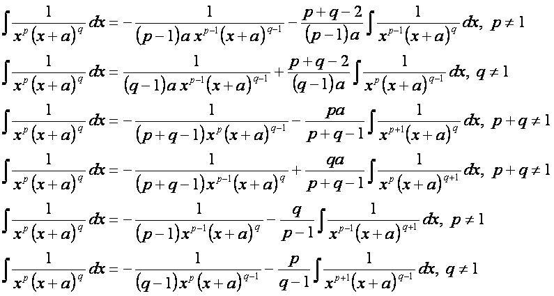
1/[xp(x+a)q][править]
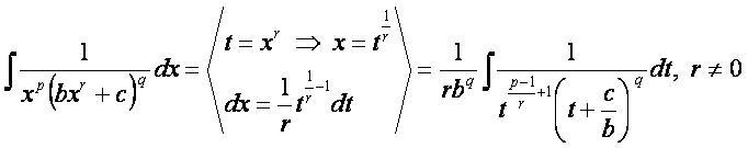
1/[xp(bxr+c)q][править]
Другие интегралы:[править]
- интеграл;
- интегралы элементарных функций;
- интегралы дробно-рациональных функций;
- интегралы функций с корнями;
- интегралы тригонометрических функций;
- интегралы обратных тригонометрических функций;
- интегралы гиперболических функций;
- интегралы обратных гиперболических функций;
- интеграл Фурье;
- интеграл Фурье комплексный;
- эллиптические интегралы;
- интегралы, определяемые методом замены переменных;
- интегралы, определяемые по интегральным равенствам;
- интегралы, определяемые по интегральным формулам;
- интеграл Эйлера-Пуассона.
Литература[править]
- Прудников А.П., Брычков Ю.А., Маричев О.И. Интегралы и ряды. М.: Наука, 1981. стр.27-31.