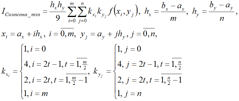
Кубатурная формула Симпсона
Перейти к навигации
Перейти к поиску
Кубатурная формула Симпсона (двухмерная формула парабол) — это формула численного интегрирования для вычисления двойных определённых интегралов с порядком точности 4.
Обозначения[править]
- m,n — чётные числа отрезков в области интегрирования;
- [ax;bx]x[ay;by] — область интегрирования;
- hx,hy — шаги интегрирования;
- IСимпсона_mxn — кубатурная формула;
- f(xi,yj) — значения подынтегральной функции в точках (xi,yj);
- kxi,kyj — весовые коэффициенты;
— матрица произведений весовых коэффициентов.
Кубатурная формула[править]
Другие формулы:[править]
- Квадратурные формулы:
- Кубатурные формулы:
Литература[править]
- Демидович Б.П., Марон И.А. Основы вычислительной математики. Уч.пос., изд.5, СПб.: Лань, 2006, стр.629-632, 672 с..
