Кубатурная формула трёх восьмых
Перейти к навигации
Перейти к поиску
Кубатурная формула трёх восьмых (двухмерная формула кубических парабол) — это формула численного интегрирования для вычисления двойных определённых интегралов с порядком точности 4.
Обозначения[править]
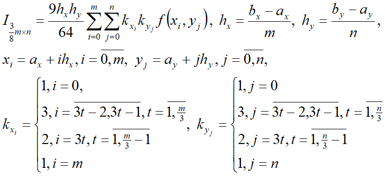
- m,n — кратные трём числа отрезков в области интегрирования;
- [ax;bx]x[ay;by] — область интегрирования;
- hx,hy — шаги интегрирования;
- I3/8mxn — кубатурная формула;
- f(xi,yj) — значения подынтегральной функции в точках (xi,yj);
- kxi,kyj — весовые коэффициенты;
— матрица произведений весовых коэффициентов.
Кубатурная формула[править]
Другие формулы:[править]
- Квадратурные формулы:
- Кубатурные формулы:
