Формула Симпсона
Перейти к навигации
Перейти к поиску
Формула Симпсона (формула парабол) - это формула численного интегрирования для вычисления определённых интегралов с порядком точности 4.
Обозначения[править]
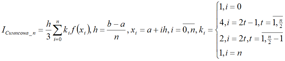
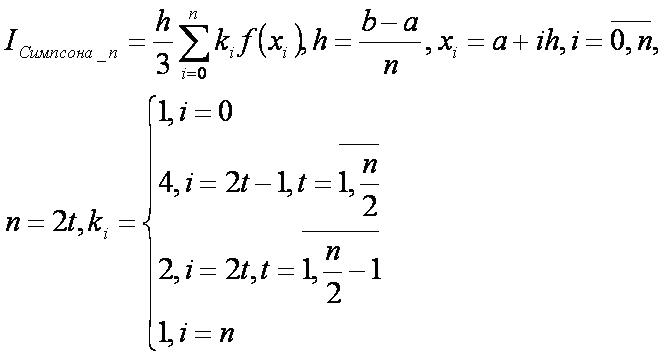
- [a;b] — отрезок интегрирования;
- n — чётное число отрезков на [a;b];
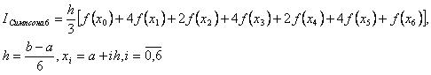
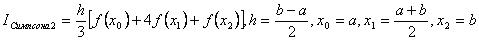
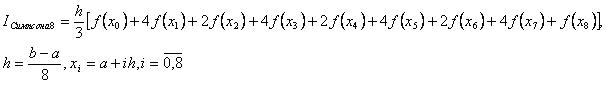
- h — шаг интегрирования, h=(b-a)/n;
- In — квадратурная формула;
- f(xi) — значения подынтегральной функции в точках xi,
- ki — весовые коэффициенты,
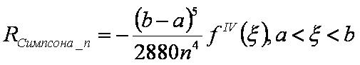
- Rn — остаточный член.
Квадратурная формула[править]
Примеры формулы[править]
n=2[править]
n=4[править]
n=6[править]
n=8[править]
Другие формулы:[править]
- Квадратурные формулы:
- Кубатурные формулы:
Литература[править]
- Демидович Б.П., Марон И.А. Основы вычислительной математики. М.: Наука, 1970.
