Формула правых прямоугольников

Материал из Циклопедии
Перейти к навигации Перейти к поиску

Формула правых прямоугольников - это формула численного интегрирования для вычисления определённых интегралов с заданной точностью.

Квадратурная формула[править]

ЧИ01.JPG ЧИ010.JPG

Примеры формулы[править]

n=1[править]

ЧИ011.PNG

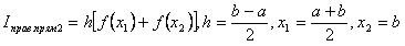
n=2[править]

ЧИ012.JPG

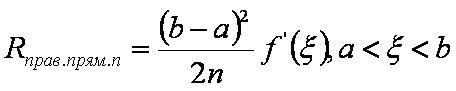
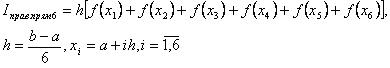
n=6[править]

ЧИ016.JPG

Другие формулы:[править]


Литература[править]

  • Демидович Б.П., Марон И.А. Основы вычислительной математики. М.: Наука, 1970.

Ссылки[править]