Формула трёх восьмых
Перейти к навигации
Перейти к поиску
Формула трёх восьмых (кубических парабол) — это формула численного интегрирования для вычисления определённых интегралов с порядком точности 4.
Обозначения[править]
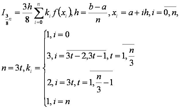
- [a;b] — отрезок интегрирования;
- n — кратное трём число отрезков на [a;b];
- h — шаг интегрирования, h=(b-a)/n;
- In — квадратурная формула;
- f(xi) — значения подынтегральной функции в точках xi,
- ki — весовые коэффициенты,
- Rn — остаточный член.
Квадратурная формула[править]
Примеры формулы[править]
n=3[править]
n=6[править]
n=9[править]
Другие формулы:[править]
- Квадратурные формулы:
- Кубатурные формулы:
Литература[править]
- Демидович Б. П., Марон И. А. Основы вычислительной математики — М.: Наука, 1970.
