Формула трапеций

Материал из Циклопедии
Перейти к навигации Перейти к поиску
Метод трапеций // KhanAcademyRussian

Формула трапеций - это формула численного интегрирования для вычисления определённых интегралов с заданной точностью.

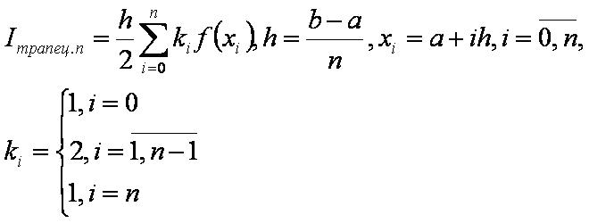
Квадратурная формула[править]

ЧИ04.JPG ЧИ040.JPG

Примеры формулы[править]

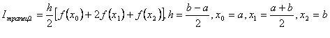
n=1[править]

ЧИ041.PNG

n=2[править]

ЧИ042.PNG

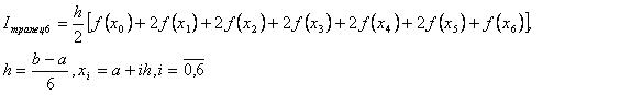
n=6[править]

ЧИ046.JPG

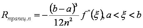
Другие формулы:[править]

Ссылки[править]

  • Демидович Б.П., Марон И.А. Основы вычислительной математики. М.: Наука, 1970.
  • Участник:Logic-samara