Однородное дифференциальное уравнение
Перейти к навигации
Перейти к поиску
Однородные дифференциальные уравнения — это такие, в которых функция f(x, y) (равная производной y’) может быть представлена как функция отношения своих аргументов φ(y/x).
Будем рассматривать дифференциальные уравнения, разрешённые относительно производной.
Обозначения[править]
x — переменная — аргумент функции;
y — переменная — функция;
y’ — производная функции;
y’=f(x, y) — общий вид дифференциального уравнения, разрешённого относительно производной.
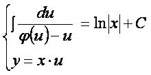
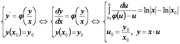
Дифференциальное уравнение[править]
Общее решение[править]
Частное решение[править]
Другие дифференциальные уравнения[править]
- с разделяющимися переменными;
- однородное;
- линейное;
- уравнение Бернулли;
- Уравнение в полных дифференциалах;
- уравнение Клеро;
- уравнение второго порядка, не содержащее y и y’;
- уравнение второго порядка, не содержащее y;
- уравнение второго порядка, не содержащее x;
- однородное уравнение второго порядка с постоянными коэффициентами;
- неоднородное уравнение второго порядка с постоянными коэффициентами;
- уравнение n-ого порядка, содержащее только переменную x;
- однородное уравнение n-ого порядка с постоянными коэффициентами;
- неоднородное уравнение n-ого порядка с постоянными коэффициентами;
- общее дифференциальное уравнение.
Литература[править]
- Бермант А. Ф., Араманович И. Г. Краткий курс математического анализа для втузов - М.: Наука, 1973, стр.534.