Линейное дифференциальное уравнение
Перейти к навигации
Перейти к поиску
Линейные дифференциальные уравнения — это такие, в которых функция f(x, y) (равная производной y’) линейная функция относительно функции y.
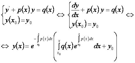
Будем рассматривать линейные дифференциальные уравнения вида y’ + p(x)y = q(x).
Обозначения[править]
x — переменная — аргумент функции;
y — переменная — функция;
y’ — производная функции;
y’ = f(x, y) — общий вид дифференциального уравнения, разрешённого относительно производной.
Дифференциальное уравнение[править]
Общее решение[править]
Частное решение[править]
Другие дифференциальные уравнения[править]
- с разделяющимися переменными;
- однородное;
- линейное;
- уравнение Бернулли;
- Уравнение в полных дифференциалах;
- уравнение Клеро;
- уравнение второго порядка, не содержащее y и y’;
- уравнение второго порядка, не содержащее y;
- уравнение второго порядка, не содержащее x;
- однородное уравнение второго порядка с постоянными коэффициентами;
- неоднородное уравнение второго порядка с постоянными коэффициентами;
- уравнение n-ого порядка, содержащее только переменную x;
- однородное уравнение n-ого порядка с постоянными коэффициентами;
- неоднородное уравнение n-ого порядка с постоянными коэффициентами;
- общее дифференциальное уравнение.
Виды формул:[править]
Литература[править]
- Бермант А. Ф., Араманович И. Г. Краткий курс математического анализа для втузов — М.: Наука, 1973, стр.536.