Дисперсия интервального ряда

Материал из Циклопедии
Перейти к навигации Перейти к поиску

Дисперсия — это числовая характеристика случайной величины, равная среднему квадрату отклонений от средней.

Обозначения:[править]

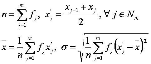
n — объём совокупности;

m — число интервалов;

xi-1 — нижняя граница i-ого интервала;

xi — верхняя граница i-ого интервала;

xi — середина i-ого интервала;

fi — частота i-ого интервала;

средняя — математическое ожидание;

σсреднеквадратическое отклонение;

D — дисперсия.

Формулы:[править]

ДИС01.JPG

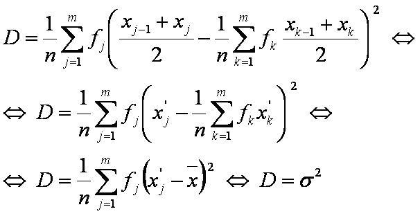
где

ДИС02.JPG

Другие формулы:[править]


Ссылки[править]