Медиана интервального ряда

Материал из Циклопедии
Перейти к навигации Перейти к поиску

Медиана, для интервального ряда — числовая характеристика случайной величины, равная середине совокупности.

Обозначения[править]

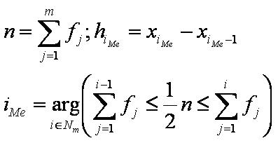
n — объём совокупности;

m — число интервалов;

xi-1 — нижняя граница i-ого интервала;

xi — верхняя граница i-ого интервала;

fi — частота i-ого интервала;

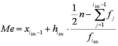
Ме — медиана — это середина совокупности, граница между первой и второй частями.

Формулы[править]

МЕД01.JPG

где

МЕД02.JPG

Другие формулы[править]


Ссылки[править]