Средние интервального ряда

Материал из Циклопедии
Перейти к навигации Перейти к поиску

Средняя — это числовая характеристика случайной величины, равная среднему ожидаемому значению и находящаяся между наименьшим и наибольшим значениями интервального ряда.

Виды средних:[править]

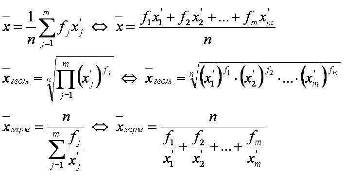
  • средняя арифметическая;
  • средняя геометрическая;
  • средняя гармоническая.

Обозначения:[править]

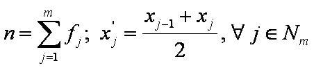
n — объём совокупности;

m — число интервалов;

xi-1 — нижняя граница i-ого интервала;

xi — верхняя граница i-ого интервала;

xi — середина i-ого интервала;

fi — частота i-ого интервала;

— средняя — математическое ожидание.

Формулы:[править]

СРЕ01.JPG

где

СРЕ02.JPG

Для средних верно неравенство:

СРЕ03.JPG

Другие формулы:[править]


Ссылки[править]